Package {estadistica}


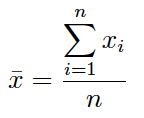
Type: Package
Title: Fundamentos de estadística descriptiva e inferencial
Version: 1.2.2
Author: Vicente Coll-Serrano [aut, cre], Rosario Martínez Verdú [aut]
Description: Este paquete pretende apoyar el proceso enseñanza-aprendizaje de estadística descriptiva e inferencial. Las funciones contenidas en el paquete 'estadistica' cubren los conceptos básicos estudiados en un curso introductorio. Muchos conceptos son ilustrados con gráficos dinámicos o web apps para facilitar su comprensión. This package aims to help the teaching-learning process of descriptive and inferential statistics. The functions contained in the package 'estadistica' cover the basic concepts studied in a statistics introductory course. Many concepts are illustrated with dynamic graphs or web apps to make the understanding easier. See: Esteban et al. (2005, ISBN: 9788497323741), Newbold et al.(2019, ISBN:9781292315034 ), Murgui et al. (2002, ISBN:9788484424673) .
License: GPL-3
Encoding: UTF-8
Language: es, en
LazyData: true
RoxygenNote: 7.3.3
URL: https://www.uv.es/estadistic/
Depends: R (≥ 3.5.0)
Imports: cli, dplyr, tidyr, tibble, plotly, ggplot2, rio, shiny, shinydashboard, knitr, forecast, openxlsx, cowplot
NeedsCompilation: no
Packaged: 2026-04-25 03:11:07 UTC; vicen
Maintainer: Vicente Coll-Serrano <estadistic@uv.es>
Repository: CRAN
Date/Publication: 2026-04-25 03:30:02 UTC

Cálculo de probabilidades.

Description

Aplicación interactiva para practicar el cálculo de probabilidades a partir de distintas distribuciones de probabilidad.

Usage

calculo.probabilidad()

Value

No devuelve un valor, es una aplicación shiny.

Author(s)

Vicente Coll-Serrano. Métodos Cuantitativos para la Medición de la Cultura (MC2). Economía Aplicada.

Rosario Martínez Verdú. Economía Aplicada.

Facultad de Economía. Universidad de Valencia (España)


Coeficiente de variación.

Description

Calcula el coeficiente de variación de Pearson.

Lee el código QR para video-tutorial sobre el uso de la función con un ejemplo.

qrdispersion.png

Usage

coeficiente.variacion(
  x,
  variable = NULL,
  pesos = NULL,
  tipo = c("muestral", "cuasi")
)

Arguments

x

Conjunto de datos. Puede ser un vector o un dataframe.

variable

Es un vector (numérico o carácter) que indica las variables a seleccionar de x. Si x se refiere una sola variable, el argumento variable es NULL. En caso contrario, es necesario indicar el nombre o posición (número de columna) de la variable.

pesos

Si los datos de la variable están resumidos en una distribución de frecuencias, debe indicarse la columna que representa los valores de la variable y la columna con las frecuencias o pesos.

tipo

Es un carácter. Por defecto calcula la desviación típica muestral (tipo = "muestral"). Si tipo = "cuasi", se calcula la cuasi-desviación típica muestral.

Details

El coeficiente de variación (muestral) se obtiene a partir de la siguiente expresión:

coeficientevariacion.png

donde S es la desviación típica muestral. También puede calcularse utilizando la cuasi-desviación típica (Sc).

Value

Esta función devuelve el valor del coeficiente de variación en un objeto de la clase vector. Por defecto, el coeficiente de variación se calcula utilizando la desviación típica muestral.

Note

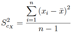
Si en lugar del tamaño muestral (n) se utiliza el tamaño de la población (N), se obtiene el coeficiente de variación poblacional:

coeficientevariacionpob.png

Author(s)

Vicente Coll-Serrano. Métodos Cuantitativos para la Medición de la Cultura (MC2). Economía Aplicada.

Rosario Martínez Verdú. Economía Aplicada.

Facultad de Economía. Universidad de Valencia (España)

References

Esteban García, J. y otros. (2005). Estadística descriptiva y nociones de probabilidad. Paraninfo. ISBN: 9788497323741

Newbold, P, Carlson, W. y Thorne, B. (2019). Statistics for Business and Economics, Global Edition. Pearson. ISBN: 9781292315034

Murgui, J.S. y otros. (2002). Ejercicios de estadística Economía y Ciencias sociales. tirant lo blanch. ISBN: 9788484424673

Examples


variacion1 <- coeficiente.variacion(startup[1])
variacion2 <- coeficiente.variacion(startup)


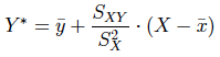
Contraste de hipótesis de correlación

Description

Realiza el contraste de hipótesis sobre el coeficiente de correlación.

Usage

contraste.correlacion(
  x,
  variable = NULL,
  introducir = FALSE,
  hipotesis_nula = 0,
  tipo_contraste = "bilateral",
  alfa = 0.05
)

Arguments

x

Conjunto de datos. Puede ser un vector o un dataframe.

variable

Es un vector (numérico o carácter) que indica las variables a seleccionar de x. Si x se refiere una sola variable, variable = NULL. En caso contrario, es necesario indicar el nombre o posición (número de columna) de la variable.

introducir

Valor lógico. Si introducir = FALSE (por defecto), el usuario debe indicar el conjunto de datos que desea analizar usando los argumentos x y/o variable. Si introducir = TRUE, se le solicitará al ususario que introduzca la información relevante sobre tamaño muestral, valor de la media muestral, etc.

hipotesis_nula

Es un valor numérico. Por defecto el valor está fijado a cero (incorrelación).

tipo_contraste

Es un carácter. Indica el tipo de contraste a realizar. Por defecto, tipo_contraste = "bilateral". Si tipo_contraste = "bilateral", se contraste la hipótesis nula igual un valor frente a la alternativa distinto de dicho valor. Si tipo_contraste = "cola derecha", se contrasta la hipótesis nula menor o igual a un valor frente a la alternativa mayor a dicho valor. Si tipo_contraste = "cola izquierda", se contrasta la hipótesis nula mayor o igual a un valor frente a la alternativa menos a dicho valor.

alfa

Es un valor numérico entre 0 y 1. Indica el nivel de significación. Por defecto, alfa = 0.05 (5 por ciento)

Details

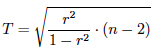
El estadístico del contraste es:

width=240px

que se distribuye como una t con n-2 grados de libertad.

Value

Esta función devuelve un objeto de la clase data.frame en el que se incluye la hipótesis nula contrastada, el valor del estadístico de prueba y el p-valor.

Author(s)

Vicente Coll-Serrano. Métodos Cuantitativos para la Medición de la Cultura (MC2). Economía Aplicada.

Rosario Martínez Verdú. Economía Aplicada.

Facultad de Economía. Universidad de Valencia (España)

References

Casas José M. (1997) Inferencia estadística. Editorial: Centro de estudios Ramón Areces, S.A. ISBN: 848004263-X

Esteban García, J. et al. (2008). Curso básico de inferencia estadística. ReproExprés, SL. ISBN: 8493036595.

Murgui, J.S. y otros. (2002). Ejercicios de estadística Economía y Ciencias sociales. tirant lo blanch. ISBN: 9788484424673

Newbold, P, Carlson, W. y Thorne, B. (2019). Statistics for Business and Economics, Global Edition. Pearson. ISBN: 9781292315034

See Also

ic.correlacion


Contraste de hipótesis sobre la diferencia de medias.

Description

Realiza el contraste de hipótesis sobre la diferencia de medias poblacionales.

Lee el código QR para video-tutorial sobre el uso de la función con un ejemplo.

width = 200px

Usage

contraste.diferencia.medias(
  x,
  variable = NULL,
  introducir = FALSE,
  var_pob = c("conocida", "desconocida"),
  iguales = FALSE,
  hipotesis_nula = 0,
  tipo_contraste = c("bilateral", "cola derecha", "cola izquierda"),
  alfa = 0.05,
  grafico = FALSE
)

Arguments

x

Conjunto de datos. Puede ser un vector o un dataframe.

variable

Es un vector (numérico o carácter) que indica las variables a seleccionar de x. Si x se refiere solo a dos variables, variable = NULL. En caso contrario, es necesario indicar el nombre o posición (número de columna) de las variables.

introducir

Valor lógico. Si introducir = FALSE (por defecto), el usuario debe indicar el conjunto de datos que desea analizar usando los argumentos x y/o variable. Si introducir = TRUE, se le solicitará al ususario que introduzca la información relevante sobre tamaño muestral, valor de la media muestral, etc.

var_pob

Es un carácter. Indica si la varianza poblacional es conocida (por defecto, var_pob = "conocida") o desconocida. En este último caso debería cambiarse el argumento a var_pob = "desconocida".

iguales

Si las varianzas poblacionales se consideran distintas (por defecto iguales = FALSE) o iguales (cambiar el argumento a iguales = TRUE).

hipotesis_nula

Es un valor numérico.

tipo_contraste

Es un carácter. Indica el tipo de contraste a realizar. Por defecto, tipo_contraste = "bilateral". Si tipo_contraste = "bilateral", se contraste la hipótesis nula igual un valor frente a la alternativa distinto de dicho valor. Si tipo_contraste = "cola derecha", se contrasta la hipótesis nula menor o igual a un valor frente a la alternativa mayor a dicho valor. Si tipo_contraste = "cola izquierda", se contrasta la hipótesis nula mayor o igual a un valor frente a la alternativa menos a dicho valor.

alfa

Es un valor numérico entre 0 y 1. Indica el nivel de significación. Por defecto, alfa = 0.05 (5 por ciento)

grafico

Es un valor lógico. Por defecto grafico = FALSE. Si se quiere obtener una representación gráfica del contraste realizado, cambiar el argumento a grafico = TRUE. Nota: Esta opción no está implementada para todos los casos.

Value

La función devuelve un objeto de la clase list. La lista contendrá información sobre: la hipótesis nula contrastada, el estadístico de prueba, el p-valor y el intervalo de confianza para la diferencia de medias muestrales supuesta cierta la hipótesis nula. Si grafico=TRUE se incluirá una representación gráfica de la región de aceptación-rechazo.

Author(s)

Vicente Coll-Serrano. Métodos Cuantitativos para la Medición de la Cultura (MC2). Economía Aplicada.

Rosario Martínez Verdú. Economía Aplicada.

Facultad de Economía. Universidad de Valencia (España)

References

Casas José M. (1997) Inferencia estadística. Editorial: Centro de estudios Ramón Areces, S.A. ISBN: 848004263-X

Esteban García, J. et al. (2008). Curso básico de inferencia estadística. ReproExprés, SL. ISBN: 8493036595.

Murgui, J.S. y otros. (2002). Ejercicios de estadística Economía y Ciencias sociales. tirant lo blanch. ISBN: 9788484424673

Newbold, P, Carlson, W. y Thorne, B. (2019). Statistics for Business and Economics, Global Edition. Pearson. ISBN: 9781292315034

See Also

ic.diferencia.medias


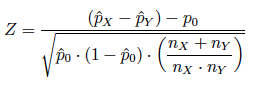
Contraste de hipótesis sobre la diferencia de dos proporciones.

Description

Realiza el contraste de hipótesis sobre la diferencia de dos proporciones.

Lee el código QR para video-tutorial sobre el uso de la función con un ejemplo.

width = 200px

Usage

contraste.diferencia.proporciones(
  x,
  variable = NULL,
  introducir = FALSE,
  hipotesis_nula = 0,
  tipo_contraste = c("bilateral", "cola derecha", "cola izquierda"),
  alfa = 0.05,
  grafico = FALSE
)

Arguments

x

Conjunto de datos. Puede ser un vector o un dataframe.

variable

Es un vector (numérico o carácter) que indica las variables a seleccionar de x. Si x se refiere solo a dos variables, variable = NULL. En caso contrario, es necesario indicar el nombre o posición (número de columna) de las variables.

introducir

Valor lógico. Si introducir = FALSE (por defecto), el usuario debe indicar el conjunto de datos que desea analizar usando los argumentos x y/o variable. Si introducir = TRUE, se le solicitará al ususario que introduzca la información relevante sobre tamaño muestral, valor de la media muestral, etc.

hipotesis_nula

Es un valor numérico. Por defecto el valor está fijado en cero.

tipo_contraste

Es un carácter. Indica el tipo de contraste a realizar. Por defecto, tipo_contraste = "bilateral". Si tipo_contraste = "bilateral", se contraste la hipótesis nula igual un valor frente a la alternativa distinto de dicho valor. Si tipo_contraste = "cola derecha", se contrasta la hipótesis nula menor o igual a un valor frente a la alternativa mayor a dicho valor. Si tipo_contraste = "cola izquierda", se contrasta la hipótesis nula mayor o igual a un valor frente a la alternativa menos a dicho valor.

alfa

Es un valor numérico entre 0 y 1. Indica el nivel de significación. Por defecto, alfa = 0.05 (5 por ciento)

grafico

Es un valor lógico. Por defecto grafico = FALSE. Si se quiere obtener una representación gráfica del contraste realizado, cambiar el argumento a grafico = TRUE. Nota: Esta opción no está implementada para todos los casos.

Details

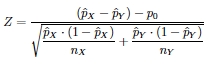
El estadístico Z del contraste, que se distribuye N(0,1), es:

(1) Si se consideran las proporciones muestrales:

width = 480px

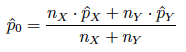
(2) si se estima p como media ponderada de las proporciones muestrales, la ponderación es:

width = 400px

y el estadístico resulta:

width = 480px

Value

La función devuelve un objeto de la clase list. La lista contendrá información sobre: la hipótesis nula contrastada, el estadístico de prueba, el p-valor el intervalo de confianza para la diferencia de proporciones muestrales supuesta cierta la hipótesis nula. Si grafico=TRUE se incluirá una representación gráfica de la región de aceptación-rechazo.

Author(s)

Vicente Coll-Serrano. Métodos Cuantitativos para la Medición de la Cultura (MC2). Economía Aplicada.

Rosario Martínez Verdú. Economía Aplicada.

Facultad de Economía. Universidad de Valencia (España)

References

Casas José M. (1997) Inferencia estadística. Editorial: Centro de estudios Ramón Areces, S.A. ISBN: 848004263-X

Esteban García, J. et al. (2008). Curso básico de inferencia estadística. ReproExprés, SL. ISBN: 8493036595.

Murgui, J.S. y otros. (2002). Ejercicios de estadística Economía y Ciencias sociales. tirant lo blanch. ISBN: 9788484424673

Newbold, P, Carlson, W. y Thorne, B. (2019). Statistics for Business and Economics, Global Edition. Pearson. ISBN: 9781292315034

See Also

ic.diferencia.proporciones


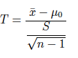
Contraste de hipótesis sobre la media.

Description

Realiza el contraste de hipótesis sobre la media poblacional.

Lee el código QR para video-tutorial sobre el uso de la función con un ejemplo.

qrcmedia.png

Usage

contraste.media(
  x,
  variable = NULL,
  introducir = FALSE,
  var_pob = c("conocida", "desconocida"),
  hipotesis_nula = NULL,
  tipo_contraste = c("bilateral", "cola derecha", "cola izquierda"),
  alfa = 0.05,
  grafico = FALSE
)

Arguments

x

Conjunto de datos. Puede ser un vector o un dataframe.

variable

Es un vector (numérico o carácter) que indica las variables a seleccionar de x. Si x se refiere una sola variable, variable = NULL. En caso contrario, es necesario indicar el nombre o posición (número de columna) de la variable.

introducir

Valor lógico. Si introducir = FALSE (por defecto), el usuario debe indicar el conjunto de datos que desea analizar usando los argumentos x y/o variable. Si introducir = TRUE, se le solicitará al ususario que introduzca la información relevante sobre tamaño muestral, valor de la media muestral, etc.

var_pob

Es un carácter. Indica si la varianza poblacional es conocida (por defecto, var_pob = "conocida") o desconocida. En este último caso debería cambiarse el argumento a var_pob = "desconocida".

hipotesis_nula

Es un valor numérico.

tipo_contraste

Es un carácter. Indica el tipo de contraste a realizar. Por defecto, tipo_contraste = "bilateral". Si tipo_contraste = "bilateral", se contraste la hipótesis nula igual un valor frente a la alternativa distinto de dicho valor. Si tipo_contraste = "cola derecha", se contrasta la hipótesis nula menor o igual a un valor frente a la alternativa mayor a dicho valor. Si tipo_contraste = "cola izquierda", se contrasta la hipótesis nula mayor o igual a un valor frente a la alternativa menos a dicho valor.

alfa

Es un valor numérico entre 0 y 1. Indica el nivel de significación. Por defecto, alfa = 0.05 (5 por ciento)

grafico

Es un valor lógico. Por defecto grafico = FALSE. Si se quiere obtener una representación gráfica del contraste realizado, cambiar el argumento a grafico = TRUE. Nota: Esta opción no está implementada para todos los casos.

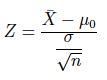
Details

(1) Si la varianza poblacional es conocida, el estadístico Z es:

width = 240px

y se distribuye como una N(0,1)

Si la varianza poblacional es desconocida pero la muesta es grande, puede utilizarse la varianza (o cuasi-varianza) muestral.

(2) Si la varianza poblacional es desconocida, el estadístico T es:

(2.1) usando la varianza muestral

width = 240px

(2.2) usando la cuasi-varianza muestral

width = 240px

Nota: en ambos casos el estadístico T se distrubuye como un t con n-1 grados de libertad.

Value

La función devuelve un objeto de la clase list. La lista contendrá información sobre: la hipótesis nula contrastada, el estadístico de prueba, el p-valor y el intervalo de confianza para la media muestral supuesta cierta la hipótesis nula. Si grafico=TRUE se incluirá una representación gráfica de la región de aceptación-rechazo con los valores críticos y otra gráfica con el intervalo para la media muestral (supesta cierta H0).

Author(s)

Vicente Coll-Serrano. Métodos Cuantitativos para la Medición de la Cultura (MC2). Economía Aplicada.

Rosario Martínez Verdú. Economía Aplicada.

Facultad de Economía. Universidad de Valencia (España)

References

Casas José M. (1997) Inferencia estadística. Editorial: Centro de estudios Ramón Areces, S.A. ISBN: 848004263-X

Esteban García, J. et al. (2008). Curso básico de inferencia estadística. ReproExprés, SL. ISBN: 8493036595.

Murgui, J.S. y otros. (2002). Ejercicios de estadística Economía y Ciencias sociales. tirant lo blanch. ISBN: 9788484424673

Newbold, P, Carlson, W. y Thorne, B. (2019). Statistics for Business and Economics, Global Edition. Pearson. ISBN: 9781292315034

See Also

ic.media


Contraste de hipótesis sobre la proporción.

Description

Realiza el contraste de hipótesis sobre la proporción poblacional.

Lee el código QR para video-tutorial sobre el uso de la función con un ejemplo.

width = 200px

Usage

contraste.proporcion(
  x,
  variable = NULL,
  introducir = FALSE,
  hipotesis_nula = NULL,
  tipo_contraste = c("bilateral", "cola derecha", "cola izquierda"),
  alfa = 0.05,
  grafico = FALSE
)

Arguments

x

Conjunto de datos. Puede ser un vector o un dataframe.

variable

Es un vector (numérico o carácter) que indica las variables a seleccionar de x. Si x se refiere una sola variable, variable = NULL. En caso contrario, es necesario indicar el nombre o posición (número de columna) de la variable.

introducir

Valor lógico. Si introducir = FALSE (por defecto), el usuario debe indicar el conjunto de datos que desea analizar usando los argumentos x y/o variable. Si introducir = TRUE, se le solicitará al ususario que introduzca la información relevante sobre tamaño muestral, valor de la media muestral, etc.

hipotesis_nula

Es un valor numérico.

tipo_contraste

Es un carácter. Indica el tipo de contraste a realizar. Por defecto, tipo_contraste = "bilateral". Si tipo_contraste = "bilateral", se contraste la hipótesis nula igual un valor frente a la alternativa distinto de dicho valor. Si tipo_contraste = "cola derecha", se contrasta la hipótesis nula menor o igual a un valor frente a la alternativa mayor a dicho valor. Si tipo_contraste = "cola izquierda", se contrasta la hipótesis nula mayor o igual a un valor frente a la alternativa menos a dicho valor.

alfa

Es un valor numérico entre 0 y 1. Indica el nivel de significación. Por defecto, alfa = 0.05 (5 por ciento)

grafico

Es un valor lógico. Por defecto grafico = FALSE. Si se quiere obtener una representación gráfica del contraste realizado, cambiar el argumento a grafico = TRUE. Nota: Esta opción no está implementada para todos los casos.

Details

En este caso el estadístico Z del contraste es:

width = 320px

Value

La función devuelve un objeto de la clase list. La lista contendrá información sobre: la hipótesis nula contrastada, el estadístico de prueba, el p-valor y el intervalo de confianza para la proporción muestral supuesta cierta la hipótesis nula. Si grafico=TRUE se incluirá una representación gráfica de la región de aceptación-rechazo con los valores críticos.

Author(s)

Vicente Coll-Serrano. Métodos Cuantitativos para la Medición de la Cultura (MC2). Economía Aplicada.

Rosario Martínez Verdú. Economía Aplicada.

Cristina Pardo-García. Métodos Cuantitativos para la Medición de la Cultura (MC2). Economía Aplicada.

Facultad de Economía. Universidad de Valencia (España)

References

Casas José M. (1997) Inferencia estadística. Editorial: Centro de estudios Ramón Areces, S.A. ISBN: 848004263-X

Esteban García, J. et al. (2008). Curso básico de inferencia estadística. ReproExprés, SL. ISBN: 8493036595.

Murgui, J.S. y otros. (2002). Ejercicios de estadística Economía y Ciencias sociales. tirant lo blanch. ISBN: 9788484424673

Newbold, P, Carlson, W. y Thorne, B. (2019). Statistics for Business and Economics, Global Edition. Pearson. ISBN: 9781292315034

See Also

ic.proporcion


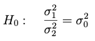
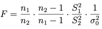
Contraste de hipótesis sobre la razón de varianzas.

Description

Realiza el contraste de hipótesis sobre la razón de dos varianzas poblacionales.

Lee el código QR para video-tutorial sobre el uso de la función con un ejemplo.

width = 200px

Usage

contraste.razon.varianzas(
  x,
  variable = NULL,
  introducir = FALSE,
  hipotesis_nula = 1,
  tipo_contraste = c("bilateral", "cola derecha", "cola izquierda"),
  alfa = 0.05,
  grafico = FALSE
)

Arguments

x

Conjunto de datos. Puede ser un vector o un dataframe.

variable

Es un vector (numérico o carácter) que indica las variables a seleccionar de x. Si x se refiere solo a dos variables, variable = NULL. En caso contrario, es necesario indicar el nombre o posición (número de columna) de las variables.

introducir

Valor lógico. Si introducir = FALSE (por defecto), el usuario debe indicar el conjunto de datos que desea analizar usando los argumentos x y/o variable. Si introducir = TRUE, se le solicitará al ususario que introduzca la información relevante sobre tamaño muestral, valor de la media muestral, etc.

hipotesis_nula

Es un valor numérico. Por defecto el valor está fijado a 1, es decir, igualdad de varianzas.

tipo_contraste

Es un carácter. Indica el tipo de contraste a realizar. Por defecto, tipo_contraste = "bilateral". Si tipo_contraste = "bilateral", se contraste la hipótesis nula igual un valor frente a la alternativa distinto de dicho valor. Si tipo_contraste = "cola derecha", se contrasta la hipótesis nula menor o igual a un valor frente a la alternativa mayor a dicho valor. Si tipo_contraste = "cola izquierda", se contrasta la hipótesis nula mayor o igual a un valor frente a la alternativa menos a dicho valor.

alfa

Es un valor numérico entre 0 y 1. Indica el nivel de significación. Por defecto, alfa = 0.05 (5 por ciento)

grafico

Es un valor lógico. Por defecto grafico = FALSE. Si se quiere obtener una representación gráfica del contraste realizado, cambiar el argumento a grafico = TRUE. Nota: Esta opción no está implementada para todos los casos.

Details

La hipótesis nula que se considera en el contraste bilateral es:

width = 240px

El estadístico F es:

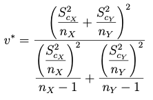
(1) Si trabajamos con la varianza muestral:

width = 400px

(2) si trabajamos con la cuasi-varianza muestral:

width = 200px

Tanto en (1) como en (2) el estadístico F se distribuye como una F con (n1-1) grados de libertad en el numerador y (n2-1) grados de libertad en el denominador.

Value

La función devuelve un objeto de la clase list. La lista contendrá información sobre: la hipótesis nula contrastada, el estadístico de prueba, el p-valor y el intervalo de confianza para la media muestral supuesta cierta la hipótesis nula. Si grafico=TRUE se incluirá una representación gráfica de la región de aceptación-rechazo con los valores críticos.

Author(s)

Vicente Coll-Serrano. Métodos Cuantitativos para la Medición de la Cultura (MC2). Economía Aplicada.

Rosario Martínez Verdú. Economía Aplicada.

Facultad de Economía. Universidad de Valencia (España)

References

Casas José M. (1997) Inferencia estadística. Editorial: Centro de estudios Ramón Areces, S.A. ISBN: 848004263-X

Esteban García, J. et al. (2008). Curso básico de inferencia estadística. ReproExprés, SL. ISBN: 8493036595.

Murgui, J.S. y otros. (2002). Ejercicios de estadística Economía y Ciencias sociales. tirant lo blanch. ISBN: 9788484424673

Newbold, P, Carlson, W. y Thorne, B. (2019). Statistics for Business and Economics, Global Edition. Pearson. ISBN: 9781292315034

See Also

ic.razon.varianzas


Contraste de hipótesis sobre la varianza.

Description

Realiza el contraste de hipótesis sobre la varianza poblacional.

Lee el código QR para video-tutorial sobre el uso de la función con un ejemplo.

width = 200px

Usage

contraste.varianza(x,
                 variable = NULL,
                 introducir = FALSE,
                 media_poblacion = c("desconocida","conocida"),
                 hipotesis_nula = NULL,
                 tipo_contraste =  c("bilateral","cola derecha","cola izquierda"),
                 alfa = 0.05,
                 grafico = FALSE)

Arguments

x

Conjunto de datos. Puede ser un vector o un dataframe.

variable

Es un vector (numérico o carácter) que indica las variables a seleccionar de x. Si x se refiere una sola variable, variable = NULL. En caso contrario, es necesario indicar el nombre o posición (número de columna) de la variable.

introducir

Valor lógico. Si introducir = FALSE (por defecto), el usuario debe indicar el conjunto de datos que desea analizar usando los argumentos x y/o variable. Si introducir = TRUE, se le solicitará al ususario que introduzca la información relevante sobre tamaño muestral, valor de la media muestral, etc.

media_poblacion

Es un carácter. Indica si la media de la población es desconocida (por defecto, media_poblacion = "desconocida") o conocida (en este caso, cambiar media_poblacion = "conocida").

hipotesis_nula

Es un valor numérico.

tipo_contraste

Es un carácter. Indica el tipo de contraste a realizar. Por defecto, tipo_contraste = "bilateral". Si tipo_contraste = "bilateral", se contraste la hipótesis nula igual un valor frente a la alternativa distinto de dicho valor. Si tipo_contraste = "cola derecha", se contrasta la hipótesis nula menor o igual a un valor frente a la alternativa mayor a dicho valor. Si tipo_contraste = "cola izquierda", se contrasta la hipótesis nula mayor o igual a un valor frente a la alternativa menos a dicho valor.

alfa

Es un valor numérico entre 0 y 1. Indica el nivel de significación. Por defecto, alfa = 0.05 (5 por ciento)

grafico

Es un valor lógico. Por defecto grafico = FALSE. Si se quiere obtener una representación gráfica del contraste realizado, cambiar el argumento a grafico = TRUE. Nota: Esta opción no está implementada para todos los casos.

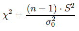
Details

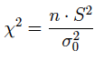
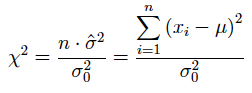
(1) Si la media poblacional es desconocida, el estadístico chi-dos es:

(1.1) utilizando la varianza muestral:

width = 200px

(1.2) utilizando la cuasi-varianza muestral:

width = 240px

(2) Si la media poblacional es conocida.

(2.1) utilizando la varianza muestral:

width = 480px

Nota: En todos los casos, el estadístico chi-dos se distrubuye con n-1 grados de libertad.

Value

La función devuelve un objeto de la clase list. La lista contendrá información sobre: la hipótesis nula contrastada, el estadístico de prueba, el p-valor y el intervalo de confianza para la media muestral supuesta cierta la hipótesis nula. Si grafico=TRUE se incluirá una representación gráfica de la región de aceptación-rechazo con los valores críticos.

Author(s)

Vicente Coll-Serrano. Métodos Cuantitativos para la Medición de la Cultura (MC2). Economía Aplicada.

Rosario Martínez Verdú. Economía Aplicada.

Facultad de Economía. Universidad de Valencia (España)

References

Casas José M. (1997) Inferencia estadística. Editorial: Centro de estudios Ramón Areces, S.A. ISBN: 848004263-X

Esteban García, J. et al. (2008). Curso básico de inferencia estadística. ReproExprés, SL. ISBN: 8493036595.

Murgui, J.S. y otros. (2002). Ejercicios de estadística Economía y Ciencias sociales. tirant lo blanch. ISBN: 9788484424673

Newbold, P, Carlson, W. y Thorne, B. (2019). Statistics for Business and Economics, Global Edition. Pearson. ISBN: 9781292315034

See Also

ic.varianza


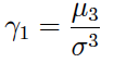
Contraste de hipótesis de bondad de ajuste para distribuciones discretas.

Description

Contrasta si los datos de una muestra proceden de una distribución poblacional determinada.

Lee el código QR para video-tutorial sobre el uso de la función con un ejemplo.

Usage

contraste_bondad(
  x,
  introducir = FALSE,
  distribucion = "equiprobable",
  parametro = FALSE,
  alfa = 0.05,
  grafico = FALSE
)

Arguments

x

Conjunto de datos. Puede ser un vector o un dataframe.

introducir

Valor lógico. Si introducir = FALSE (por defecto), el usuario debe indicar el conjunto de datos que desea analizar usando los argumentos x y/o variable. Si introducir = TRUE, se le solicitará al ususario que introduzca la información relevante sobre el número de filas (se abrirá una ventana con un editor de datos y deberá introducir los valores de la variable poblacional y las frecuencias observadas), valor del parámetro poblacional, etc.

distribucion

Es un carácter. Indica el tipo de distribución poblacional que se quiere contrastar en la hipótesis nula (por defecto, distribucion = "equiprobable") o desconocida. En este último caso debería cambiarse el argumento a var_pob = "desconocida". Si distribucion = "equiprobable", se contrasta que en la distribución poblacional de la hipótesis nula todos los valores de la población tienen la misma probabilidad. Si distribucion = "poisson", se contrasta que la distribución poblacional de la hipótesis nula se distribuye según una Poisson. Si distribucion = "binomial", se contrasta que la distribución poblacional de la hipótesis nula se distribuye según una Binomial.

parametro

Es un valor lógico. Si no se especifica ningún valor para el parámetro o parámetros de la distribución poblacional parametro = FALSE (por defecto) o si se especifica un valor para dicho parámetro o parámetros (cambiar el argumento a parametro = TRUE)

alfa

Es un valor numérico entre 0 y 1. Indica el nivel de significación. Por defecto, alfa = 0.05 (5 por ciento)

grafico

Es un valor lógico. Por defecto grafico = FALSE. Si se quiere obtener una representación gráfica del contraste realizado, cambiar el argumento a grafico = TRUE.

Details

(1) El estadístico del contraste de bondad de ajuste es:

\chi ^{2} = \sum_{i=1}^{k} \frac{(O_{i} - E_{i})^{2}}{E_{i}}

donde O_{i} son las frecuencias observadas y E_{i} son las frecuencias teóricas o esperadas, y se distribuye como:

\chi_{k-m-1}^{2}

donde k es el número de valores distintos de la variable, y m es el número de parámetros de la distribución poblacional de la hipótesis nula no especificados (desconocidos) y que se han tenido que estimar.

Además, se exige que todas las frecuencias teóricas no estén por debajo de 5. Si alguna no lo cumple, es necesario reagrupar valores contiguos hasta conseguir superar esa cota.

(2) Si el número de grados de libertad es 1, al estadístico del contraste se le aplica la siguiente corrección de Yates:

\chi ^{2} = \sum_{i=1}^{k} \frac{(\left| O_{i} - E_{i} \right| - 0.5)^{2}}{E_{i}}

Value

La función devuelve un objeto de la clase list. La lista contendrá información sobre: la hipótesis nula contrastada, el estadístico de prueba y el p-valor. Si grafico=TRUE se incluirá una representación gráfica de la región de aceptación-rechazo con el valor crítico.

Author(s)

Vicente Coll-Serrano. Métodos Cuantitativos para la Medición de la Cultura (MC2). Economía Aplicada.

Rosario Martínez Verdú. Economía Aplicada.

Juan José Vidal Llana. Métodos Cuantitativos para la Medición de la Cultura (MC2). Economía Aplicada.

Facultad de Economía. Universidad de Valencia (España)

References

Casas José M. (1997) Inferencia estadística. Editorial: Centro de estudios Ramón Areces, S.A. ISBN: 848004263-X

Esteban García, J. et al. (2008). Curso básico de inferencia estadística. ReproExprés, SL. ISBN: 8493036595.

Murgui, J.S. y otros. (2002). Ejercicios de estadística Economía y Ciencias sociales. tirant lo blanch. ISBN: 9788484424673

Newbold, P, Carlson, W. y Thorne, B. (2019). Statistics for Business and Economics, Global Edition. Pearson. ISBN: 9781292315034

See Also

contraste_bondad_cat,contraste_independencia, contraste_homogeneidad


Contraste de hipótesis de bondad de ajuste para datos categóricos.

Description

Contrasta si las probabilidades de que una observación pertenezca a cada una de las categorías de una variable categórica o criterio de clasificación se ajusta o no a unas probabilidades propuestas.

Lee el código QR para video-tutorial sobre el uso de la función con un ejemplo.

Usage

contraste_bondad_cat(
  x,
  introducir = FALSE,
  distribucion = "equiprobable",
  alfa = 0.05,
  grafico = FALSE
)

Arguments

x

Conjunto de datos. Puede ser un vector o un dataframe. En caso de haber más de una variable, el programa preguntará por la variable a seleccionar (por nombre o por posición) que debe ser un factor o carácter.

introducir

Valor lógico. Si introducir = FALSE (por defecto), el usuario debe indicar el conjunto de datos que desea analizar usando los argumentos x. Si introducir = TRUE, se le solicitará al ususario que introduzca la información relevante sobre el número de categorías de la variable, el nombre de cada categoría. A continuación se abrirá una ventana con un editor de datos y deberá introducir los valores de las frecuencias observadas.

distribucion

Es un vector numérico. Deberá indicarse las probabilidades teóricas para cada categoría de la variable de la hipótesis nula. Por defecto, *distribucion="equiporobable"*.

alfa

Es un valor numérico entre 0 y 1. Indica el nivel de significación. Por defecto, alfa = 0.05 (5 por ciento)

grafico

Es un valor lógico. Por defecto grafico = FALSE. Si se quiere obtener una representación gráfica del contraste realizado, cambiar el argumento a grafico = TRUE. Nota: Esta opción no está implementada para todos los casos.

Details

(1) El estadístico del contraste de bondad de ajuste para datos categóricos es:

\chi ^{2} = \sum_{i=1}^{k} \frac{(O_{i} - E_{i})^{2}}{E_{i}}

donde O_{i} son las frecuencias observadas y E_{i} son las frecuencias teóricas o esperadas, y se distribuye como:

\chi_{k-1}^{2}

donde k es el número de categorías de la variable.

Además, se exige que todas las frecuencias teóricas no estén por debajo de 5. Si alguna no lo cumple es necesario reagrupar valores contiguos hasta conseguir superar esa cota.

(2) Si el número de grados de libertad es 1, al estadístico del contraste se le aplica la siguiente corrección de Yates:

\chi ^{2} = \sum_{i=1}^{k} \frac{(\left| O_{i} - E_{i} \right| - 0.5)^{2}}{E_{i}}

Value

La función devuelve un objeto de la clase list. La lista contendrá información sobre: la hipótesis nula contrastada, el estadístico de prueba y el p-valor. Si grafico=TRUE se incluirá una representación gráfica de la región de aceptación-rechazo con el valor crítico.

Author(s)

Vicente Coll-Serrano. Métodos Cuantitativos para la Medición de la Cultura (MC2). Economía Aplicada.

Rosario Martínez Verdú. Economía Aplicada.

Facultad de Economía. Universidad de Valencia (España)

References

Casas José M. (1997) Inferencia estadística. Editorial: Centro de estudios Ramón Areces, S.A. ISBN: 848004263-X

Esteban García, J. et al. (2008). Curso básico de inferencia estadística. ReproExprés, SL. ISBN: 8493036595.

Murgui, J.S. y otros. (2002). Ejercicios de estadística Economía y Ciencias sociales. tirant lo blanch. ISBN: 9788484424673

Newbold, P, Carlson, W. y Thorne, B. (2019). Statistics for Business and Economics, Global Edition. Pearson. ISBN: 9781292315034

See Also

contraste_bondad, contraste_independencia, contraste_homogeneidad


Contraste de Homogeneidad de Poblaciones.

Description

Contrasta la hipótesis de que todas las poblaciones constituidas por una variable categórica o criterio de clasificación de las que se han seleccionado las muestras son homogéneas (tienen la misma distribución de probabilidad).

Lee el código QR para video-tutorial sobre el uso de la función con un ejemplo.

Usage

contraste_homogeneidad(x, introducir = FALSE, alfa = 0.05, grafico = FALSE)

Arguments

x

Conjunto de datos. Puede ser una matriz o un dataframe. Debe contener sólo 2 columnas.

introducir

Valor lógico. Si introducir = FALSE (por defecto), el usuario debe indicar el conjunto de datos que desea analizar usando los argumentos x y/o variable. Si introducir = TRUE, se le solicitará al ususario que introduzca la información relevante sobre el número de muestras, sobre el número de categorías de la variable poblacional, el nombre de cada categoría de la variable o de cada muestra en la posición de fila y el nombre de la categoría de la variable o de cada muestra en la posición de columna. A continuación se abrirá una ventana con un editor de datos y deberá introducir los valores de las frecuencias observadas de la tabla de contingencia.

alfa

Es un valor numérico entre 0 y 1. Indica el nivel de significación. Por defecto, alfa = 0.05 (5 por ciento)

grafico

Es un valor lógico. Por defecto grafico = FALSE. Si se quiere obtener una representación gráfica del contraste realizado, cambiar el argumento a grafico = TRUE.

Details

(1) El estadístico del contraste de homogeneidad es:

\chi ^{2} = \sum_{i=1}^{I} \sum_{j=1}^{J} \frac{(O_{ij} - E_{ij})^{2}}{E_{ij}} = \sum_{i=1}^{I} \sum_{j=1}^{J} \frac{(O_{ij} - \frac{O_{i.} \times O_{.j}}{n})^{2}}{\frac{O_{i.} \times O_{.j}}{n}}

donde O_{ij} son las frecuencias conjuntas observadas, E_{ij} son las frecuencias teóricas o esperadas, O_{i.} es el tamaño de cada muestra, O_{.j} es el total de individuos del conjunto de las muestras clasificados en la categoría j de la variable, y n es la suma de los tamaños de todas las muestras.

\chi_{(I-1)(J-1)}^{2}

donde I es el número de muestras y J es el número de categorías de la variable.

Además, se exige que el tamaño de las muestras sea grande y que todas las frecuencias teóricas no estén por debajo de 5. Si alguna no lo cumple, es necesario reagrupar las categorías contiguas hasta conseguir superar esa cota.

(2) Si el número de grados de libertad es 1, al estadístico del contraste se le aplica la siguiente corrección de Yates:

\chi^{2} = \sum_{i=1}^{k} \frac{(\left| O_{i} - E_{i} \right| - 0.5)^{2}}{E_{i}}

Value

La función devuelve un objeto de la clase list. La lista contendrá información sobre: la hipótesis nula contrastada, el estadístico de prueba y el p-valor. Si grafico=TRUE se incluirá una representación gráfica de la región de aceptación-rechazo con el valor crítico.

Author(s)

Vicente Coll-Serrano. Métodos Cuantitativos para la Medición de la Cultura (MC2). Economía Aplicada.

Rosario Martínez Verdú. Economía Aplicada.

Facultad de Economía. Universidad de Valencia (España)

References

Casas José M. (1997) Inferencia estadística. Editorial: Centro de estudios Ramón Areces, S.A. ISBN: 848004263-X

Esteban García, J. et al. (2008). Curso básico de inferencia estadística. ReproExprés, SL. ISBN: 8493036595.

Murgui, J.S. y otros. (2002). Ejercicios de estadística Economía y Ciencias sociales. tirant lo blanch. ISBN: 9788484424673

Newbold, P, Carlson, W. y Thorne, B. (2019). Statistics for Business and Economics, Global Edition. Pearson. ISBN: 9781292315034

See Also

contraste_independencia,contraste_bondad_cat


Contraste de Independencia.

Description

Contrasta la hipótesis de independencia entre las categorías de dos variables categóricas o criterios de clasificación en los que se encuentra clasificada la muestra proveniente de dicha población bidimensional.

Lee el código QR para video-tutorial sobre el uso de la función con un ejemplo.

Usage

contraste_independencia(x, introducir = FALSE, alfa = 0.05, grafico = FALSE)

Arguments

x

Conjunto de datos. Puede ser una matriz o un dataframe. Debe contener sólo 2 columnas.

introducir

Valor lógico. Si introducir = FALSE (por defecto), el usuario debe indicar el conjunto de datos que desea analizar usando los argumentos x y/o variable. Si introducir = TRUE, se le solicitará al ususario que introduzca la información relevante sobre el número de categorías de cada una de las variables, el nombre de cada categoría de la variable fila y de la variable columna. A continuación se abrirá una ventana con un editor de datos y deberá introducir los valores de las frecuencias observadas de la tabla de contingencia.

alfa

Es un valor numérico entre 0 y 1. Indica el nivel de significación. Por defecto, alfa = 0.05 (5 por ciento)

grafico

Es un valor lógico. Por defecto grafico = FALSE. Si se quiere obtener una representación gráfica del contraste realizado, cambiar el argumento a grafico = TRUE.

Details

(1) El estadístico del contraste de independencia es:

\chi ^{2} = \sum_{i=1}^{I} \sum_{j=1}^{J} \frac{(O_{ij} - E_{ij})^{2}}{E_{ij}} = \sum_{i=1}^{I} \sum_{j=1}^{J} \frac{(O_{ij} - \frac{O_{i.} \times O_{.j}}{n})^{2}}{\frac{O_{i.} \times O_{.j}}{n}}

donde O_{ij} son las frecuencias conjuntas observadas, E_{ij} son las frecuencias teóricas o esperadas, O_{i.} y O_{.j} son las frecuencias marginales de cada variable, y n es el tamaño de la muestra.

\chi_{(I-1)(J-1)}^{2}

donde I y J son el número de categorías de la variable fila y de la variable columna, respectivamente.

Además, se exige que el tamaño de la muestra sea grande y que todas las frecuencias teóricas no estén por debajo de 5. Si alguna no lo cumple, es necesario reagrupar las categorías contiguas hasta conseguir superar esa cota.

(2) Si el número de grados de libertad es 1, al estadístico del contraste se le aplica la siguiente corrección de Yates:

\chi ^{2} = \sum_{i=1}^{k} \frac{(\left| O_{i} - E_{i} \right| - 0.5)^{2}}{E_{i}}

Value

La función devuelve un objeto de la clase list. La lista contendrá información sobre: la hipótesis nula contrastada, el estadístico de prueba y el p-valor. Si grafico=TRUE se incluirá una representación gráfica de la región de aceptación-rechazo con el valor crítico.

Author(s)

Vicente Coll-Serrano. Métodos Cuantitativos para la Medición de la Cultura (MC2). Economía Aplicada.

Rosario Martínez Verdú. Economía Aplicada.

Facultad de Economía. Universidad de Valencia (España)

References

Casas José M. (1997) Inferencia estadística. Editorial: Centro de estudios Ramón Areces, S.A. ISBN: 848004263-X

Esteban García, J. et al. (2008). Curso básico de inferencia estadística. ReproExprés, SL. ISBN: 8493036595.

Murgui, J.S. y otros. (2002). Ejercicios de estadística Economía y Ciencias sociales. tirant lo blanch. ISBN: 9788484424673

Newbold, P, Carlson, W. y Thorne, B. (2019). Statistics for Business and Economics, Global Edition. Pearson. ISBN: 9781292315034

See Also

contraste_homogeneidad,contraste_bondad_cat


Convergencia de la varianza y cuasivarianza muestral.

Description

Gráfico dinámico que ilustra la convergencia de la varianza y cuasi-varianza muestral a medida que aumenta el tamaño muestral.

Usage

convergencia.varianza()

Value

Devuelve un gráfico que es un objeto de la clase plotly y htmlwidget.

Author(s)

Vicente Coll-Serrano. Métodos Cuantitativos para la Medición de la Cultura (MC2). Economía Aplicada.

Rosario Martínez Verdú. Economía Aplicada.

Cristina Pardo-García. Métodos Cuantitativos para la Medición de la Cultura (MC2). Economía Aplicada.

Facultad de Economía. Universidad de Valencia (España)


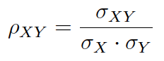
Coeficiente de correlación.

Description

Calcula el coeficiente de correlación de Pearson.

Lee el código QR para video-tutorial sobre el uso de la función con un ejemplo.

width = 200px

Usage

correlacion(x, variable = NULL, pesos = NULL)

Arguments

x

Conjunto de datos. Es un dataframe con al menos 2 variables (2 columnas).

variable

Es un vector (numérico o carácter) que indica las variables a seleccionar de x. Si x solo tiene 2 variables (columnas), variable = NULL. En caso contrario, es necesario indicar el nombre o posición (número de columna) de las variables a seleccionar.

pesos

Si los datos de la variable están resumidos en una distribución de frecuencias, debe indicarse la columna que representa los valores de la variable y la columna con las frecuencias o pesos.

Details

El coeficiente de correlación muestral se obtiene a partir de la siguiente expresión:

width = 400px

Por su construcción, el valor del coeficiente de correlación muestral es el mismo tanto si se calcula a partir de la covarianza y desviaciones típicas muestrales como si se hace a partir de la cuasi-covarianza y cuasi-desviaciones típicas muestrales.

Value

Esta función devuelve el valor del coeficiente de correlación lineal en un objeto de la clase vector.

Note

Si en lugar del tamaño muestral (n) se utiliza el tamaño de la población (N) se obtiene el coeficiente de correlació poblacional:

width = 240px

Author(s)

Vicente Coll-Serrano. Métodos Cuantitativos para la Medición de la Cultura (MC2). Economía Aplicada.

Rosario Martínez Verdú. Economía Aplicada.

Facultad de Economía. Universidad de Valencia (España)

References

Esteban García, J. y otros. (2005). Estadística descriptiva y nociones de probabilidad. Paraninfo. ISBN: 9788497323741

Newbold, P, Carlson, W. y Thorne, B. (2019). Statistics for Business and Economics, Global Edition. Pearson. ISBN: 9781292315034

Murgui, J.S. y otros. (2002). Ejercicios de estadística Economía y Ciencias sociales. tirant lo blanch. ISBN: 9788484424673

See Also

matriz.correlacion, covarianza,matriz.covar

Examples


correlacion1 <- correlacion(startup[,c(1,3)])
correlacion2 <- correlacion(startup,variable=c(1,3))


Covarianza.

Description

Calcula la covarianza.

Lee el código QR para video-tutorial sobre el uso de la función con un ejemplo.

width = 200px

Usage

covarianza(x, variable = NULL, pesos = NULL, tipo = c("muestral", "cuasi"))

Arguments

x

Conjunto de datos. Es un dataframe con al menos 2 variables (2 columnas).

variable

Es un vector (numérico o carácter) que indica las variables a seleccionar de x. Si x solo tiene 2 variables (columnas), el argumento variable es NULL. En caso contrario, es necesario indicar el nombre o posición (número de columna) de las variables a seleccionar.

pesos

Si los datos de la variable están resumidos en una distribución de frecuencias, debe indicarse la columna que representa los valores de la variable y la columna con las frecuencias o pesos.

tipo

Es un carácter. Por defecto de calcula la covarianza muestral (tipo = "muestral"). Si tipo = "cuasi", se calcula la cuasi-covarianza muestral.

Details

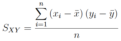
(1) La covarianza muestral se obtiene a partir de la siguiente expresión:

width = 400px

(2) Muchos manuales y prácticamente todos los softwares (SPSS, Excel, etc.) calculan la covarianza a partir de la expresión:

width = 400px

Nosotros nos referimos a esta expresión como cuasi-covarianza muestral.

Value

Esta función devuelve la covarianza en un objeto de la clase vector.

Note

Si en lugar del tamaño muestral (n) se utiliza el tamaño de la población (N) se obtiene la covarianza poblacional:

width = 400px

Author(s)

Vicente Coll-Serrano. Métodos Cuantitativos para la Medición de la Cultura (MC2). Economía Aplicada.

Rosario Martínez Verdú. Economía Aplicada.

Facultad de Economía. Universidad de Valencia (España)

References

Esteban García, J. y otros. (2005). Estadística descriptiva y nociones de probabilidad. Paraninfo. ISBN: 9788497323741

Newbold, P, Carlson, W. y Thorne, B. (2019). Statistics for Business and Economics, Global Edition. Pearson. ISBN: 9781292315034

Murgui, J.S. y otros. (2002). Ejercicios de estadística Economía y Ciencias sociales. tirant lo blanch. ISBN: 9788484424673

See Also

varianza, desviacion,matriz.covar


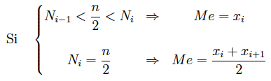
Cuantiles.

Description

Calcula los cuantiles.

Lee el código QR para video-tutorial sobre el uso de la función con un ejemplo.

width = 200px

Usage

cuantiles(
  x,
  variable = NULL,
  pesos = NULL,
  cortes = c(0.25, 0.5, 0.75),
  exportar = FALSE
)

Arguments

x

Conjunto de datos. Puede ser un vector o un dataframe.

variable

Es un vector (numérico o carácter) que indica las variables a seleccionar de x. Si x se refiere una sola variable, variable = NULL. En caso contrario, es necesario indicar el nombre o posición (número de columna) de la variable.

pesos

Si los datos de la variable están resumidos en una distribución de frecuencias, debe indicarse la columna que representa los valores de la variable y la columna con las frecuencias o pesos.

cortes

Vector con los puntos de corte a calcular. Por defecto se calcula el primer, segundo y tercer cuartil.

exportar

Para exportar los resultados a una hoja de cálculo Excel (exportar = TRUE).

Details

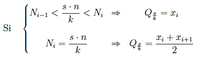
Los cuantiles se obtienen a partir de la siguiente regla de decisión:

width = 680px

Ni son las frecuencias acumuladas y n el tamaño de la muestra (o N si es la población).

cuartiles: s=1,2,3 y k=4

deciles: s= 1,2,...,9 y k=10

percentiles: s=1,2,...,99 y k=100

Value

Si pesos = NULL, la función devuelve los cuantiles de todas las variables seleccionadas en un objeto de tipo data.frame. En caso contrario, devuelve los cuantiles de la variable para la que se ha facilitado la distribución de frecuencias.

Author(s)

Vicente Coll-Serrano (vicente.coll@uv.es). Métodos Cuantitativos para la Medición de la Cultura (MC2). Economía Aplicada.

Rosario Martínez Verdú (rosario.martinez@uv.es). Economía Aplicada.

Cristina Pardo-García (cristina.pardo-garcia@uv.es). Métodos Cuantitativos para la Medición de la Cultura (MC2). Economía Aplicada.

References

Esteban García, J. y otros. (2005). Estadística descriptiva y nociones de probabilidad. Paraninfo. ISBN: 9788497323741

Newbold, P, Carlson, W. y Thorne, B. (2019). Statistics for Business and Economics, Global Edition. Pearson. ISBN: 9781292315034

Murgui, J.S. y otros. (2002). Ejercicios de estadística Economía y Ciencias sociales. tirant lo blanch. ISBN: 9788484424673

See Also

media, mediana

Examples


cuantiles1 <- cuantiles(startup[1])
cuantiles2 <- cuantiles(startup,variable=1,cortes=seq(0.1,0.9,0.1))
cuantiles3 <- cuantiles(salarios2018,variable=6,pesos=7 )


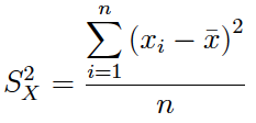
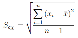
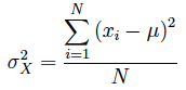
Desviación típica.

Description

Calcula la desviación típica.

Lee el código QR para video-tutorial sobre el uso de la función con un ejemplo.

width = 200px

Usage

desviacion(x, variable = NULL, pesos = NULL, tipo = c("muestral", "cuasi"))

Arguments

x

Conjunto de datos. Puede ser un vector o un dataframe.

variable

Es un vector (numérico o carácter) que indica las variables a seleccionar de x. Si x se refiere una sola variable, el argumento variable es NULL. En caso contrario, es necesario indicar el nombre o posición (número de columna) de la variable.

pesos

Si los datos de la variable están resumidos en una distribución de frecuencias, debe indicarse la columna que representa los valores de la variable y la columna con las frecuencias o pesos.

tipo

Es un carácter. Por defecto de calcula la desviación típica muestral (tipo = "muestral"). Si tipo = "cuasi", se calcula la cuasi-desviación típica muestral.

Details

(1) La expresión de la de la desviación típica muestral es:

width = 32px

La desviación típica muestral así definida es el estimador máximo verosímil de la desviación típica de una población normal

(2) Muchos manuales y prácticamente todos los softwares (SPSS, Excel, etc.) calculan la expresión:

width = 320px

Nosotros llamamos a esta medida: cuasi-desviación típica muestral y es un estimador insesgado de la desviación típica poblacional.

Value

Esta función devuelve un objeto de la clase vector. Si tipo="muestral", devuelve la desviación típica muestral. Si tipo="cuasi", devuelve la cuasi-desviación típica muestral.

Note

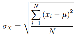
Si en lugar del tamaño muestral (n) se utiliza el tamaño de la población (N) se obtiene la desviación típica poblacional:

width = 320px

Author(s)

Vicente Coll-Serrano. Métodos Cuantitativos para la Medición de la Cultura (MC2). Economía Aplicada.

Rosario Martínez Verdú. Economía Aplicada.

Cristina Pardo-García. Métodos Cuantitativos para la Medición de la Cultura (MC2). Economía Aplicada.

Facultad de Economía. Universidad de Valencia (España)

References

Esteban García, J. y otros. (2005). Estadística descriptiva y nociones de probabilidad. Paraninfo. ISBN: 9788497323741

Newbold, P, Carlson, W. y Thorne, B. (2019). Statistics for Business and Economics, Global Edition. Pearson. ISBN: 9781292315034

Murgui, J.S. y otros. (2002). Ejercicios de estadística Economía y Ciencias sociales. tirant lo blanch. ISBN: 9788484424673

See Also

media, varianza, coeficiente.variacion

Examples


desviacion1 <- desviacion(startup[1])
desviaciona2 <- desviacion(startup,variable=1)
desviacion3 <- desviacion(startup,variable=1, tipo="cuasi")


Datos simulados de dos muestras tomadas en periodos de tiempo distintos. La muestra 1 es tomada en enero y la muestra 2 en junio.

Description

Datos simulados de dos muestras tomadas en periodos de tiempo distintos. La muestra 1 es tomada en enero y la muestra 2 en junio.

Usage

data("diseno1")

Format

Dataframe en formato ancho con 620 observaciones. La pregunta realizada es: ¿Sabe que Valencia es la capital mundial del diseño 2022?

muestra1

0: No sabe, 1: Sí Sabe

muestra2

0: No sabe, 1: Sí sabe

Author(s)

Vicente Coll-Serrano. Quantitative Methods for Measuring Culture (MC2). Applied Economics.

Rosario Martínez Verdú. Economía Aplicada.

Cristina Pardo-García. Métodos Cuantitativos para la Medición de la Cultura (MC2). Economía Aplicada.

Facultad de Economía. Universidad de Valencia (España)

Source

Muestra simulada.


Datos simulados de dos muestras tomadas en periodos de tiempo distintos. La muestra 1 es tomada en enero y la muestra 2 en junio.

Description

Datos simulados de dos muestras tomadas en periodos de tiempo distintos. La muestra 1 es tomada en enero y la muestra 2 en junio.

Usage

data("diseno2")

Format

Dataframe en formato largo con 1085 observaciones. La pregunta realizada es: ¿Sabe que Valencia es la capital mundial del diseño 2022?

muestra

Toma dos valores: Muestra1 y Muestra2

resultado

0: No sabe, 1: Sí sabe

Author(s)

Vicente Coll-Serrano. Quantitative Methods for Measuring Culture (MC2). Applied Economics.

Rosario Martínez Verdú. Economía Aplicada.

Cristina Pardo-García. Métodos Cuantitativos para la Medición de la Cultura (MC2). Economía Aplicada.

Facultad de Economía. Universidad de Valencia (España)

Source

Muestra simulada.


Distribución normal.

Description

Aplicación interactiva para comparar dos distribuciones normales.

Usage

distribucion.normal()

Value

No devuelve un valor, es una aplicación shiny.

Author(s)

Vicente Coll-Serrano. Métodos Cuantitativos para la Medición de la Cultura (MC2). Economía Aplicada.

Rosario Martínez Verdú. Economía Aplicada.

Cristina Pardo-García. Métodos Cuantitativos para la Medición de la Cultura (MC2). Economía Aplicada.

Facultad de Economía. Universidad de Valencia (España)


Distribuciones de probabilidad.

Description

Aplicación interactiva donde se representa las principales distribuciones de probabilidad unidimensionales: Binomial, Poisson, Uniforme, Exponencial y Normal.

Usage

distribuciones.probabilidad()

Value

No devuelve un valor, Es una aplicación shiny.

Author(s)

Vicente Coll-Serrano. Métodos Cuantitativos para la Medición de la Cultura (MC2). Economía Aplicada.

Rosario Martínez Verdú. Economía Aplicada.

Cristina Pardo-García. Métodos Cuantitativos para la Medición de la Cultura (MC2). Economía Aplicada.

Facultad de Economía. Universidad de Valencia (España)


Data: Ejemplo de dos variables (ejem_bidi)

Description

Datos simulados. Muestra de 100 observaciones

Usage

data("ejem_bidi")

Format

Dataframe con 100 observaciones de 2 variables.

x

Toma valores de 0 a 5.

x

Toma valores de 10 a 15

Author(s)

Vicente Coll-Serrano. Quantitative Methods for Measuring Culture (MC2). Applied Economics.

Rosario Martínez Verdú. Economía Aplicada.

Cristina Pardo-García. Métodos Cuantitativos para la Medición de la Cultura (MC2). Economía Aplicada.

Facultad de Economía. Universidad de Valencia (España)

Source

Muestra simulada.


Data: Hogares

Description

Datos de 10 hogares que se utilizan en los ejemplos de (1) tabla bidimensional, (2) covarianza, (3) matriz de covarianzas, (4) correlación y (5) matriz de correlación.

Usage

data("hogares")

Format

Dataframe con 10 observaciones de 3 variables.

Hogares

Identificación del hogar.

ingresos

Ingresos del hogar

viajes

Número de hogares realizado por los hogares.


Intervalo confianza para el coeficiente de correlación

Description

Calcula el intervalo de confianza para el coeficiente de correlación.

Usage

ic.correlacion(x, variable = NULL, introducir = FALSE, confianza = 0.95)

Arguments

x

Conjunto de datos. Puede ser un vector o un dataframe.

variable

Es un vector (numérico o carácter) que indica las variables a seleccionar de x. Si x se refiere una sola variable, variable = NULL. En caso contrario, es necesario indicar el nombre o posición (número de columna) de la variable.

introducir

Valor lógico. Si introducir = FALSE (por defecto), el usuario debe indicar el conjunto de datos que desea analizar usando los argumentos x y/o variable. Si introducir = TRUE, se le solicitará al ususario que introduzca la información relevante sobre tamaño muestral, valor de la media muestral, etc.

confianza

Es un valor numérico entre 0 y 1. Indica el nivel de confianza. Por defecto, confianza = 0.95 (95 por ciento)

Details

(1) El intervalo para

width = 160px

(2) es:

width = 6400px

Igualando la expresión en (1) al extremo inferior de (2) y al extremo superior de (2) se obtendrá el intervalo para la correlación.

Value

Devuelve el intervalo de confianza de la correlación lineal en un objeto de tipo data.frame

Author(s)

Vicente Coll-Serrano. Métodos Cuantitativos para la Medición de la Cultura (MC2). Economía Aplicada.

Rosario Martínez Verdú. Economía Aplicada.

Facultad de Economía. Universidad de Valencia (España)

References

Casas José M. (1997) Inferencia estadística. Editorial: Centro de estudios Ramón Areces, S.A. ISBN: 848004263-X

Esteban García, J. et al. (2008). Curso básico de inferencia estadística. ReproExprés, SL. ISBN: 8493036595.

Murgui, J.S. y otros. (2002). Ejercicios de estadística Economía y Ciencias sociales. tirant lo blanch. ISBN: 9788484424673

Newbold, P, Carlson, W. y Thorne, B. (2019). Statistics for Business and Economics, Global Edition. Pearson. ISBN: 9781292315034


Intervalo confianza para la diferencia de medias.

Description

Calcula el intervalo de confianza de la diferencia de medias poblacionales.

Lee el código QR para video-tutorial sobre el uso de la función con un ejemplo.

width = 200px

Usage

ic.diferencia.medias(
  x,
  variable = NULL,
  introducir = FALSE,
  poblacion = c("normal", "desconocida"),
  var_pob = c("conocida", "desconocida"),
  iguales = FALSE,
  confianza = 0.95
)

Arguments

x

Conjunto de datos. Puede ser un vector o un dataframe.

variable

Es un vector (numérico o carácter) que indica las variables a seleccionar de x. Si x se refiere a dos variables, variable = NULL. En caso contrario, es necesario indicar el nombre o posición (número de columna) de las variables.

introducir

Valor lógico. Si introducir = FALSE (por defecto), el usuario debe indicar el conjunto de datos que desea analizar usando los argumentos x y/o variable. Si introducir = TRUE, se le solicitará al ususario que introduzca la información relevante sobre tamaño muestral, valor de la media muestral, etc.

poblacion

Es un carácter. Indica la distribución de probabilidad de la población. Por defecto poblacion = "normal". Si la distribución de la población es desconocida, cambiar a poblacion = "desconocida".

var_pob

Es un carácter. Indica si la varianza poblacional es conocida (por defecto, var_pob = "conocida") o desconocida. En este último caso debería cambiarse el argumento a var_pob = "desconocida".

iguales

Por defecto se considera que las varianzas poblacionales son distintas (iguales = FALSE). En el supuesto de varianzas poblacionales iguales cambiar el argumento a iguales = TRUE.

confianza

Es un valor numérico entre 0 y 1. Indica el nivel de confianza. Por defecto, confianza = 0.95 (95 por ciento)

Details

Se obtienen los intervalos según los siguientes casos:

Caso 1: Varianzas poblacionales conocidas

width = 60px

Nota: Si los tamaños muestrales nx y ny son suficientemente grandes, pueden estimarse las varianzas poblacionales por sus correspondientes varianzas (o cuasivarianzas), incluso aunque las distribuciones poblacionales no sean normales (por aplicación del TCL).

Caso 2. Varianzas poblacionales desconocidas pero iguales

(2.1) con varianza muestral:

width = 560px

(2.2) con cuasivarianza muestral:

width = 600px

Nota: Tanto en el caso (2.1) como (2.2) la distribución t tiene (nx+ny-2) grados de libertad.

Caso 3. Varianzas poblacionales desconocidas y distintas

(3.1) con varianza muestral:

width = 480px

la distribución t con grados de libertad igual al entero más próximo de v.

width = 520px

(3.2) con cuasivarianza muestral:

width = 480px

la distribución t con grados de libertad igual a v, donde v = (parte entera de v*) + 1

width = 520px

Value

Devuelve el intervalo de confianza de la diferencia de medias poblacionales en un objeto de tipo data.frame.

Author(s)

Vicente Coll-Serrano. Métodos Cuantitativos para la Medición de la Cultura (MC2). Economía Aplicada.

Rosario Martínez Verdú. Economía Aplicada.

Facultad de Economía. Universidad de Valencia (España)

References

Casas José M. (1997) Inferencia estadística. Editorial: Centro de estudios Ramón Areces, S.A. ISBN: 848004263-X

Esteban García, J. et al. (2008). Curso básico de inferencia estadística. ReproExprés, SL. ISBN: 8493036595.

Murgui, J.S. y otros. (2002). Ejercicios de estadística Economía y Ciencias sociales. tirant lo blanch. ISBN: 9788484424673

Newbold, P, Carlson, W. y Thorne, B. (2019). Statistics for Business and Economics, Global Edition. Pearson. ISBN: 9781292315034


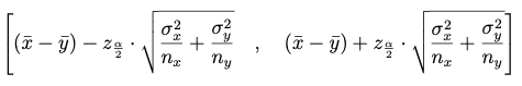
Intervalo confianza para la diferencia de dos proporciones.

Description

Calcula el intervalo de confianza de la diferencia de dos proporciones.

width = 200px

Usage

ic.diferencia.proporciones(
  x,
  variable = NULL,
  introducir = FALSE,
  confianza = 0.95,
  grafico = FALSE
)

Arguments

x

Conjunto de datos. Puede ser un vector o un dataframe.

variable

Es un vector (numérico o carácter) que indica las variables a seleccionar de x. Si x se refiere una sola variable, el argumento variable es NULL. En caso contrario, es necesario indicar el nombre o posición (número de columna) de la variable.

introducir

Valor lógico. Si introducir = FALSE (por defecto), el usuario debe indicar el conjunto de datos que desea analizar usando los argumentos x y/o variable. Si introducir = TRUE, se le solicitará al ususario que introduzca la información relevante sobre tamaño muestral, valor de la media muestral, etc.

confianza

Es un valor numérico entre 0 y 1. Indica el nivel de confianza. Por defecto, confianza = 0.95 (95 por ciento)

grafico

Es un valor lógico. Por defecto grafico = FALSE. Si se quiere obtener una representación gráfica del intervalo de confianza obtenido, cambiar el argumento a grafico = TRUE. Nota: Esta opción no está implementada para todos los casos.#'

Details

Se obtiene el intervalo:

width = 520px

Nota: El usuario puede seguir dos estrategias: (1) Sustituir las proporciones muestrales del error típico por sus estimaciones máximo-verosímiles (proporciones muestrales) (2) Considerar el caso: p=q=0.5

Author(s)

Vicente Coll-Serrano. Métodos Cuantitativos para la Medición de la Cultura (MC2). Economía Aplicada.

Rosario Martínez Verdú. Economía Aplicada.

Facultad de Economía. Universidad de Valencia (España)

References

Casas José M. (1997) Inferencia estadística. Editorial: Centro de estudios Ramón Areces, S.A. ISBN: 848004263-X

Esteban García, J. et al. (2008). Curso básico de inferencia estadística. ReproExprés, SL. ISBN: 8493036595.

Murgui, J.S. y otros. (2002). Ejercicios de estadística Economía y Ciencias sociales. tirant lo blanch. ISBN: 9788484424673

Newbold, P, Carlson, W. y Thorne, B. (2019). Statistics for Business and Economics, Global Edition. Pearson. ISBN: 9781292315034


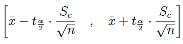
Intervalo confianza para la media.

Description

Calcula el intervalo de confianza de la media poblacional.

Lee el código QR para video-tutorial sobre el uso de la función con un ejemplo.

width = 200px

Usage

ic.media(
  x,
  variable = NULL,
  introducir = FALSE,
  poblacion = c("normal", "desconocida"),
  var_pob = c("conocida", "desconocida"),
  confianza = 0.95,
  grafico = FALSE
)

Arguments

x

Conjunto de datos. Puede ser un vector o un dataframe.

variable

Es un vector (numérico o carácter) que indica las variables a seleccionar de x. Si x se refiere una sola variable, variable = NULL. En caso contrario, es necesario indicar el nombre o posición (número de columna) de la variable.

introducir

Valor lógico. Si introducir = FALSE (por defecto), el usuario debe indicar el conjunto de datos que desea analizar usando los argumentos x y/o variable. Si introducir = TRUE, se le solicitará al ususario que introduzca la información relevante sobre tamaño muestral, valor de la media muestral, etc.

poblacion

Es un carácter. Indica la distribución de probabilidad de la población. Por defecto poblacion = "normal". Si la distribución de la población es desconocida, cambiar a poblacion = "desconocida".

var_pob

Es un carácter. Indica si la varianza poblacional es conocida (por defecto, var_pob = "conocida") o desconocida. En este último caso debería cambiarse el argumento a var_pob = "desconocida".

confianza

Es un valor numérico entre 0 y 1. Indica el nivel de confianza. Por defecto, confianza = 0.95 (95 por ciento)

grafico

Es un valor lógico. Por defecto grafico = FALSE. Si se quiere obtener una representación gráfica del intervalo de confianza obtenido, cambiar el argumento a grafico = TRUE. Nota: Esta opción no está implementada para todos los casos.

Details

(1) Si población desconocida, varianza poblacial conocida y muestra pequeña:

width = 400px

(2) Si población normal, varianza poblacional conocida (muestra pequeña y grande)

width = 440px

(3) Si población normal, varianza poblacional desconocida y muestra pequeña

Con la varianza muestral:

width = 400px

Con la cuasivarianza muestral:

width = 400px

Nota: En ambos casos, el valor crítico sigue una distribución t con n-1 grados de libertad

(4) Si población normal, varianza poblacional desconocida y muestra grande: Puede utilizarse la aproximación a la normal. El intervalo se obtiene a partir de la expresión (2) estimando la varianza poblacional por la varianza (o cuasivarianza) muestral.

Value

Devuelve el intervalo de confianza de la media poblacional en un objeto de tipo data.frame. Si grafico = T devuelve una list con el intervalo de confianza y su representación gráfica.

Author(s)

Vicente Coll-Serrano. Métodos Cuantitativos para la Medición de la Cultura (MC2). Economía Aplicada.

Rosario Martínez Verdú. Economía Aplicada.

Facultad de Economía. Universidad de Valencia (España)

References

Casas José M. (1997) Inferencia estadística. Editorial: Centro de estudios Ramón Areces, S.A. ISBN: 848004263-X

Esteban García, J. et al. (2008). Curso básico de inferencia estadística. ReproExprés, SL. ISBN: 8493036595.

Murgui, J.S. y otros. (2002). Ejercicios de estadística Economía y Ciencias sociales. tirant lo blanch. ISBN: 9788484424673

Newbold, P, Carlson, W. y Thorne, B. (2019). Statistics for Business and Economics, Global Edition. Pearson. ISBN: 9781292315034


Intervalo confianza de una proporción.

Description

Calcula el intervalo de confianza de una proporción.

Lee el código QR para video-tutorial sobre el uso de la función con un ejemplo.

width = 200px

Usage

ic.proporcion(
  x,
  variable = NULL,
  introducir = FALSE,
  irrestricto = FALSE,
  confianza = 0.95,
  grafico = FALSE
)

Arguments

x

Conjunto de datos. Puede ser un vector o un dataframe.

variable

Es un vector (numérico o carácter) que indica las variables a seleccionar de x. Si x se refiere una sola variable, variable = NULL. En caso contrario, es necesario indicar el nombre o posición (número de columna) de la variable.

introducir

Valor lógico. Si introducir = FALSE (por defecto), el usuario debe indicar el conjunto de datos que desea analizar usando los argumentos x y/o variable. Si introducir = TRUE, se le solicitará al ususario que introduzca la información relevante sobre tamaño muestral, valor de la media muestral, etc.

irrestricto

Es un valor lógico. Por defecto, irrectricto = FALSE. si se considera un muestreo irrectricto (extracción sin reemplazamiento), cambiar el argumento a irrestricto = TRUE.

confianza

Es un valor numérico entre 0 y 1. Indica el nivel de confianza. Por defecto, confianza = 0.95 (95 por ciento)

grafico

Es un valor lógico. Por defecto grafico = FALSE. Si se quiere obtener una representación gráfica del intervalo de confianza obtenido, cambiar el argumento a grafico = TRUE. Nota: Esta opción no está implementada para todos los casos.

Details

(1) Para tamaños muestrales muy grandes (n>100):

width = 640px

El usuario puede elegir entre tres estrategias:

(1.1) En el error típico aproximar p por su estimación muestral. (1.2) En el error típico considerar el caso: p=q=0.5 (1.3) Obtener el valor de p a partir del estadístico.

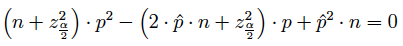
(2) Para cualquier tamaño muestral puede obtenerse el intervalo:

width = 120px

correspondiendo los valores a las raíces de:

width = 640px

Value

Devuelve el intervalo de confianza de la proporción poblacional en un objeto de tipo data.frame. Si grafico = T devuelve una list con el intervalo de confianza y su representación gráfica.

Author(s)

Vicente Coll-Serrano. Métodos Cuantitativos para la Medición de la Cultura (MC2). Economía Aplicada.

Rosario Martínez Verdú. Economía Aplicada.

Facultad de Economía. Universidad de Valencia (España)

References

Casas José M. (1997) Inferencia estadística. Editorial: Centro de estudios Ramón Areces, S.A. ISBN: 848004263-X

Esteban García, J. et al. (2008). Curso básico de inferencia estadística. ReproExprés, SL. ISBN: 8493036595.

Murgui, J.S. y otros. (2002). Ejercicios de estadística Economía y Ciencias sociales. tirant lo blanch. ISBN: 9788484424673

Newbold, P, Carlson, W. y Thorne, B. (2019). Statistics for Business and Economics, Global Edition. Pearson. ISBN: 9781292315034


Intervalo confianza para la razón (cociente) de varianzas.

Description

Calcula el intervalo de confianza para la razón (o cociente) de varianzas.

Lee el código QR para video-tutorial sobre el uso de la función con un ejemplo.

width = 200px

Usage

ic.razon.varianzas(
  x,
  variable = NULL,
  introducir = FALSE,
  media_pob = c("desconocida", "conocida"),
  confianza = 0.95,
  grafico = FALSE
)

Arguments

x

Conjunto de datos. Puede ser un vector o un dataframe.

variable

Es un vector (numérico o carácter) que indica las variables a seleccionar de x. Si x se refiere a dos variables, variable = NULL. En caso contrario, es necesario indicar el nombre o posición (número de columna) de las variables.

introducir

Valor lógico. Si introducir = FALSE (por defecto), el usuario debe indicar el conjunto de datos que desea analizar usando los argumentos x y/o variable. Si introducir = TRUE, se le solicitará al ususario que introduzca la información relevante sobre tamaño muestral, valor de la media muestral, etc.

media_pob

Es un carácter. Por defecto se supone que la media poblacional es desconocida (media_pob="desconocida")

confianza

Es un valor numérico entre 0 y 1. Indica el nivel de confianza. Por defecto, confianza = 0.95 (95 por ciento)

grafico

Es un valor lógico. Por defecto grafico = FALSE. Si se quiere obtener una representación gráfica del intervalo de confianza obtenido, cambiar el argumento a grafico = TRUE. Nota: Esta opción no está implementada para todos los casos.

Details

Esta función calcula el intervalo de confianza para el cociente entre la varianza poblacional de la muestra 1 y la de la muestra 2, es decir:

width = 80px

Para obtener los intervalos de confianza se opera sobre el estadístico F que se facilita en la nota y que se utiliza para obtener el intervalo del cociente de la varianza de la muestra 2 y la muestra 1.

Los intervalos se obtienen bajo el supuesto de que la media poblacional es desconocida:

(1) si se trabaja con las varianzas muestrales

width = 880px

(2) si se trabaja con las cuasi-varianzas muestrales

width = 640px

Value

Devuelve el intervalo del cociente de varianzas poblacionales en un objeto de tipo data.frame. Si grafico = T devuelve una list con el intervalo de confianza y su representación gráfica.

Note

En el caso de querer deducir el intervalo recíproco, es decir:

width = 80px

se parte del estadístico:

width = 400px

(3) si se trabaja con las varianzas muestrales

width = 880px

(4) si se trabaja con las cuasi-varianzas muestrales

width = 640px

Author(s)

Vicente Coll-Serrano. Métodos Cuantitativos para la Medición de la Cultura (MC2). Economía Aplicada.

Rosario Martínez Verdú. Economía Aplicada.

Facultad de Economía. Universidad de Valencia (España)

References

Casas José M. (1997) Inferencia estadística. Editorial: Centro de estudios Ramón Areces, S.A. ISBN: 848004263-X

Esteban García, J. et al. (2008). Curso básico de inferencia estadística. ReproExprés, SL. ISBN: 8493036595.

Murgui, J.S. y otros. (2002). Ejercicios de estadística Economía y Ciencias sociales. tirant lo blanch. ISBN: 9788484424673

Newbold, P, Carlson, W. y Thorne, B. (2019). Statistics for Business and Economics, Global Edition. Pearson. ISBN: 9781292315034


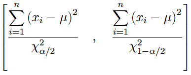
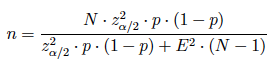
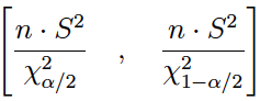
Intervalo confianza para la varianza.

Description

Calcula el intervalo de confianza de la varianza poblacional.

Lee el código QR para video-tutorial sobre el uso de la función con un ejemplo.

width = 200px

Usage

ic.varianza(
  x,
  variable = NULL,
  introducir = FALSE,
  media_poblacion = c("desconocida", "conocida"),
  confianza = 0.95,
  grafico = FALSE
)

Arguments

x

Conjunto de datos. Puede ser un vector o un dataframe.

variable

Es un vector (numérico o carácter) que indica las variables a seleccionar de x. Si x se refiere una sola variable, variable = NULL. En caso contrario, es necesario indicar el nombre o posición (número de columna) de la variable.

introducir

Valor lógico. Si introducir = FALSE (por defecto), el usuario debe indicar el conjunto de datos que desea analizar usando los argumentos x y/o variable. Si introducir = TRUE, se le solicitará al ususario que introduzca la información relevante sobre tamaño muestral, valor de la media muestral, etc.

media_poblacion

Es un carácter. Indica si la media de la población es desconocida (por defecto, media_poblacion = "desconocida") o conocida (en este caso, cambiar media_poblacion = "conocida").

confianza

Es un valor numérico entre 0 y 1. Indica el nivel de confianza. Por defecto, confianza = 0.95 (95 por ciento)

grafico

Es un valor lógico. Por defecto grafico = FALSE. Si se quiere obtener una representación gráfica del intervalo de confianza obtenido, cambiar el argumento a grafico = TRUE. Nota: Esta opción no está implementada para todos los casos.

Details

(1) Si la media poblacional es conocida:

width = 200px

(2) Si la media poblacional es desconocida.

Con la varianza muestral:

width = 200px

Con la cuasivarianza muestral:

width = 200px

Nota: En todos los casos se obtiene el valor de la chi-dos con n grados de libertad que deja a su derecha una probabilidad de alfa y 1-alfa.

Value

Devuelve el intervalo de confianza de la varianza poblacional en un objeto de tipo data.frame. Si grafico = T devuelve una list con el intervalo de confianza y su representación gráfica.

Author(s)

Vicente Coll-Serrano. Métodos Cuantitativos para la Medición de la Cultura (MC2). Economía Aplicada.

Rosario Martínez Verdú. Economía Aplicada.

Facultad de Economía. Universidad de Valencia (España)

References

Casas José M. (1997) Inferencia estadística. Editorial: Centro de estudios Ramón Areces, S.A. ISBN: 848004263-X

Esteban García, J. et al. (2008). Curso básico de inferencia estadística. ReproExprés, SL. ISBN: 8493036595.

Murgui, J.S. y otros. (2002). Ejercicios de estadística Economía y Ciencias sociales. tirant lo blanch. ISBN: 9788484424673

Newbold, P, Carlson, W. y Thorne, B. (2019). Statistics for Business and Economics, Global Edition. Pearson. ISBN: 9781292315034


Leer datos.

Description

Carga un conjunto de datos.

width = 200px

Usage

leer.datos(introducir = FALSE, pos = 1)

Arguments

introducir

Valor lógico. Si introducir = FALSE (por defecto), se abrirá una ventana para que el usuario seleccione el fichero de datos que quiere cargar. Si introducir = TRUE, el usuario introducirá él mismo los datos.

pos

Es un valor fijo utilizado para mostrar el dataframe del usuario en el Global Environment.

Value

Al finalizar el proceso de lectura de datos se mostrará el dataframe cargado en el environment.

Author(s)

Vicente Coll-Serrano. Métodos Cuantitativos para la Medición de la Cultura (MC2). Economía Aplicada.

Rosario Martínez Verdú. Economía Aplicada.

Cristina Pardo-García. Métodos Cuantitativos para la Medición de la Cultura (MC2). Economía Aplicada.

Facultad de Economía. Universidad de Valencia (España)

References

Esteban García, J. et al. (2005). Estadística descriptiva y nociones de probabilidad. Thomson.


Matriz de correlación.

Description

Obtiene la matriz de correlación (de Pearson) entre 2 o más variables cuantitativas.

Lee el código QR para video-tutorial sobre el uso de la función con un ejemplo.

width = 200px

Usage

matriz.correlacion(x, variable = NULL, exportar = FALSE)

Arguments

x

Conjunto de datos. Es un dataframe con al menos 2 variables (2 columnas).

variable

Es un vector (numérico o carácter) que indica las variables a seleccionar de x. Si x solo tiene 2 variables (columnas), variable = NULL. En caso contrario, es necesario indicar el nombre o posición (número de columna) de las variables a seleccionar.

exportar

Para exportar los resultados a una hoja de cálculo Excel (exportar = TRUE).

Details

Se obtiene la matriz de correlación muestral:

width = 400px

Value

La función devuelve la matriz de correlación lineal de las variables seleccionadas en un data.frame.

Note

Si en lugar del tamaño muestral (n) se utiliza el tamaño de la población (N) se obtiene la matriz de correlació poblacional:

width = 440px

Author(s)

Vicente Coll-Serrano. Métodos Cuantitativos para la Medición de la Cultura (MC2). Economía Aplicada.

Rosario Martínez Verdú. Economía Aplicada.

Facultad de Economía. Universidad de Valencia (España)

References

Esteban García, J. y otros. (2005). Estadística descriptiva y nociones de probabilidad. Paraninfo. ISBN: 9788497323741

Newbold, P, Carlson, W. y Thorne, B. (2019). Statistics for Business and Economics, Global Edition. Pearson. ISBN: 9781292315034

Murgui, J.S. y otros. (2002). Ejercicios de estadística Economía y Ciencias sociales. tirant lo blanch. ISBN: 9788484424673

See Also

correlacion, covarianza,matriz.covar

Examples


matriz_cor <- matriz.correlacion(startup)



Matriz de varianzas y covarianzas.

Description

Obtiene la matriz de varianzas y covarianzas.

Lee el código QR para video-tutorial sobre el uso de la función con un ejemplo.

width = 200px

Usage

matriz.covar(
  x,
  variable = NULL,
  tipo = c("muestral", "cuasi"),
  exportar = FALSE
)

Arguments

x

Conjunto de datos. Es un dataframe con al menos 2 variables (2 columnas).

variable

Es un vector (numérico o carácter) que indica las variables a seleccionar de x. Si x solo tiene 2 variables (columnas), variable = NULL. En caso contrario, es necesario indicar el nombre o posición (número de columna) de las variables a seleccionar.

tipo

Es un carácter. Por defecto de calcula la matriz de varianzas y covarianzas muestrales (tipo = "muestral"). Si tipo = "cuasi", se calcula la matriz de cuasi-varianzas y cuasi-covarianzas muestrales.

exportar

Para exportar los resultados a una hoja de cálculo Excel (exportar = TRUE).

Details

(1) Se obtiene la matriz de varianzas y covarianzas muestrales:

width = 400px

(2) Muchos manuales y prácticamente todos los softwares (SPSS, Excel, etc.) facilitan la matriz de cuasi-varianzas y cuasi-covarianzas muestrales:

width = 440px

Nosotros nos referimos a esta expresión como cuasi-covarianza muestral.

Value

La función devuelve la matriz de varianzas-covarianzas (muestrales, por defecto) de las variables seleccionadas en un data.frame.

Note

Si en lugar del tamaño muestral (n) se utiliza el tamaño de la población (N) se obtiene la matriz de varianzas y covarianzas poblacional:

width = 440px

Author(s)

Vicente Coll-Serrano. Métodos Cuantitativos para la Medición de la Cultura (MC2). Economía Aplicada.

Rosario Martínez Verdú. Economía Aplicada.

Facultad de Economía. Universidad de Valencia (España)

References

Esteban García, J. y otros. (2005). Estadística descriptiva y nociones de probabilidad. Paraninfo. ISBN: 9788497323741

Newbold, P, Carlson, W. y Thorne, B. (2019). Statistics for Business and Economics, Global Edition. Pearson. ISBN: 9781292315034

Murgui, J.S. y otros. (2002). Ejercicios de estadística Economía y Ciencias sociales. tirant lo blanch. ISBN: 9788484424673

See Also

varianza, desviacion

Examples


matriz_covarianzas1 <- matriz.covar(startup)
matriz_covarianzas2 <- matriz.covar(startup, tipo= "cuasi")


Media (aritmética).

Description

Calcula la media aritmética.

Lee el código QR para video-tutorial sobre el uso de la función con un ejemplo.

width = 200px

Usage

media(x, variable = NULL, pesos = NULL)

Arguments

x

Conjunto de datos. Puede ser un vector o un dataframe.

variable

Es un vector (numérico o carácter) que indica las variables a seleccionar de x. Si x se refiere una sola variable, variable = NULL. En caso contrario, es necesario indicar el nombre o posición (número de columna) de la variable.

pesos

Si los datos de la variable están resumidos en una distribución de frecuencias, debe indicarse la columna que representa los valores de la variable y la columna con las frecuencias o pesos.

Details

Si se obtiene la media (muestral) a partir de los datos brutos, como generalmente hacen los softwares:

width = 640px

Si se desea obtener la media (muestral) a partir de una tabla estadística se utiliza la expresión:

width = 64px

Value

Si pesos = NULL, devuelve la media (aritmética) de todas la variables seleccionadas en un vector. En caso contrario, devuelve únicamente la media de la variable para la que se ha facilitado la distribución de frecuencias.

Note

Si en lugar del tamaño muestral (n) se utiliza el tamaño de la población (N) se obtiene la media poblacional:

width = 640px

Author(s)

Vicente Coll-Serrano. Métodos Cuantitativos para la Medición de la Cultura (MC2). Economía Aplicada.

Rosario Martínez Verdú. Economía Aplicada.

Cristina Pardo-García. Métodos Cuantitativos para la Medición de la Cultura (MC2). Economía Aplicada.

Facultad de Economía. Universidad de Valencia (España)

References

Esteban García, J. y otros. (2005). Estadística descriptiva y nociones de probabilidad. Paraninfo. ISBN: 9788497323741

Newbold, P, Carlson, W. y Thorne, B. (2019). Statistics for Business and Economics, Global Edition. Pearson. ISBN: 9781292315034

Murgui, J.S. y otros. (2002). Ejercicios de estadística Economía y Ciencias sociales. tirant lo blanch. ISBN: 9788484424673

Examples


media1 <- media(startup[1])
media2 <- media(startup,variable=1)
media3 <- media(salarios2018,variable=6,pesos=7)


Mediana.

Description

Calcula la mediana.

Lee el código QR para video-tutorial sobre el uso de la función con un ejemplo.

width = 200px

Usage

mediana(x, variable = NULL, pesos = NULL)

Arguments

x

Conjunto de datos. Puede ser un vector o un dataframe.

variable

Es un vector (numérico o carácter) que indica las variables a seleccionar de x. Si x se refiere una sola variable, variable = NULL. En caso contrario, es necesario indicar el nombre o posición (número de columna) de la variable.

pesos

Si los datos de la variable están resumidos en una distribución de frecuencias, debe indicarse la columna que representa los valores de la variable y la columna con las frecuencias o pesos.

Details

La mediana se obtiene a partir de la siguiente regla de decisión:

width = 640px

donde: Ni son las frecuencias acumuladas y n el tamaño de la muestra (o N si es la población).

Value

Si pesos = NULL, devuelve la mediana de todas la variables seleccionadas en un vector. En caso contrario, devuelve únicamente la mediana de la variable para la que se ha facilitado la distribución de frecuencias.

Author(s)

Vicente Coll-Serrano. Métodos Cuantitativos para la Medición de la Cultura (MC2). Economía Aplicada.

Rosario Martínez Verdú. Economía Aplicada.

Cristina Pardo-García. Métodos Cuantitativos para la Medición de la Cultura (MC2). Economía Aplicada.

Facultad de Economía. Universidad de Valencia (España)

References

Esteban García, J. y otros. (2005). Estadística descriptiva y nociones de probabilidad. Paraninfo. ISBN: 9788497323741

Newbold, P, Carlson, W. y Thorne, B. (2019). Statistics for Business and Economics, Global Edition. Pearson. ISBN: 9781292315034

Murgui, J.S. y otros. (2002). Ejercicios de estadística Economía y Ciencias sociales. tirant lo blanch. ISBN: 9788484424673

See Also

media, cuantiles

Examples


mediana1 <- mediana(startup[1])
mediana2 <- mediana(startup,variable=1)
mediana3 <- mediana(salarios2018,variable=6,pesos=7)


Medidas de forma

Description

Calcula el coeficiente de asimetría y de curtosis de Fisher.

Lee el código QR para video-tutorial sobre el uso de la función con un ejemplo.

width = 200px

Usage

medidas.forma(
  x,
  variable = NULL,
  pesos = NULL,
  alternativa = FALSE,
  exportar = FALSE
)

Arguments

x

Conjunto de datos, que puede estar formado por una o más variables.

variable

Es un vector (numérico o carácter) que indica las variables a seleccionar de x. Si x se refiere una sola variable, el argumento variable es NULL. En caso contrario, es necesario indicar el nombre o posición (número de columna) de la variable.

pesos

Si los datos de la variable están resumidos en una distribución de frecuencias, debe indicarse la columna que representa los valores de la variable y la columna con las frecuencias o pesos.

alternativa

Es un valor lógico. Si alternativa = TRUE el resultado de las medidas de forma muestra el coeficiente de asimetría y curtosis calculado según SPSS y EXCEL. Se facilita también los correspondientes errores típicos. Este argumento no funciona si pesos = NULL.

exportar

Para exportar los resultados a una hoja de cálculo Excel (exportar = TRUE).

Details

El coeficiente de asimetría se obtiene a partir de la expresión:

width = 160px

y el coeficiente de curtosis:

width = 280px

Note

(1) El coeficiente de asimetría poblacional es:

width = 160px

(2) El coeficiente de curtosis poblacional es:

width = 2800px

(3) Si el argumento alternativa = TRUE, se obtienen los resultados de asimetría y curtosis que generalmente ofrecen softwares como: SPSS, Stata, SAS, Excel, etc.

width = 4800px

width = 920px

Author(s)

Vicente Coll-Serrano. Métodos Cuantitativos para la Medición de la Cultura (MC2). Economía Aplicada.

Rosario Martínez Verdú. Economía Aplicada.

Facultad de Economía. Universidad de Valencia (España)

References

Esteban García, J. y otros. (2005). Estadística descriptiva y nociones de probabilidad. Paraninfo. ISBN: 9788497323741

Newbold, P, Carlson, W. y Thorne, B. (2019). Statistics for Business and Economics, Global Edition. Pearson. ISBN: 9781292315034

Murgui, J.S. y otros. (2002). Ejercicios de estadística Economía y Ciencias sociales. tirant lo blanch. ISBN: 9788484424673

See Also

varianza,desviacion

Examples


forma <- medidas.forma(startup)
forma2 <- medidas.forma(startup, alternativa= TRUE)


Moda.

Description

Calcula la moda.

Lee el código QR para video-tutorial sobre el uso de la función con un ejemplo.

width = 200px

Usage

moda(x, variable = NULL, pesos = NULL)

Arguments

x

Conjunto de datos. Puede ser un vector o un dataframe.

variable

Es un vector (numérico o carácter) que indica las variables a seleccionar de x. Si x se refiere una sola variable, variable = NULL. En caso contrario, es necesario indicar el nombre o posición (número de columna) de la variable.

pesos

Si los datos de la variable están resumidos en una distribución de frecuencias, debe indicarse la columna que representa los valores de la variable y la columna con las frecuencias o pesos.

Value

Si pesos = NULL, devuelve la moda de todas la variables seleccionadas en un data.frame. En caso contrario, devuelve únicamente la moda de la variable para la que se ha facilitado la distribución de frecuencias.

Author(s)

Vicente Coll-Serrano. Métodos Cuantitativos para la Medición de la Cultura (MC2). Economía Aplicada.

Rosario Martínez Verdú. Economía Aplicada.

Facultad de Economía. Universidad de Valencia (España)

References

Esteban García, J. y otros. (2005). Estadística descriptiva y nociones de probabilidad. Paraninfo. ISBN: 9788497323741

Newbold, P, Carlson, W. y Thorne, B. (2019). Statistics for Business and Economics, Global Edition. Pearson. ISBN: 9781292315034

Murgui, J.S. y otros. (2002). Ejercicios de estadística Economía y Ciencias sociales. tirant lo blanch. ISBN: 9788484424673


Tamaño de la muestra.

Description

Calcula el tamaño muestral para estimar la media de una población normal o la proporcion p de una población.

Lee el código QR para video-tutorial sobre el uso de la función con un ejemplo.

width = 200px

width = 200px

Usage

muestra(
  poblacion = c("normal", "dicotomica"),
  error_estimacion = NULL,
  confianza = 0.95,
  irrestricto = FALSE
)

Arguments

poblacion

Texto, si poblacion = "normal" (por defecto), calcula el tamaño muestral que permita estimar la media de una población normal. Si poblacion = "dicotomica", para estimar la proporción p de una población.

error_estimacion

Es un valor que establece el error de estimación. Es la semiamplitud (mitad de la precisión) del intervalo de confianza. Esta aproximación solo es válida en distribuciones simétricas (normal o t-student).

confianza

Es un valor entre 0 y 1 que indica el nivel de confianza. Por defecto, confianza = 0.95 (95 por ciento).

irrestricto

Es un valor lógico que indica si se considera un muestreo aleatorio simple (por defecto, irrestricto = FALSE) o sin reemplazamiento (irrestricto = TRUE).

Details

(1) El tamaño muestral para estimar la media poblacional se obtiene a partir de la siguiente expresión:

tamanomedia.png

y si el muestreo es irrestricto:

width = 480px

Nota: si la varianza poblacional no es conocida puede estimarse a través de la varianza (o cuasi-varianza) muestral.

(2) El tamaño muestral para estimar la proporción de una característica se obtiene a partir de la expresión:

width = 280px

y si el muestreo es irrectricto:

width = 520px

Nota: puede estimarse la proporción poblacional por la proporción muestral o, en caso de no disponer de información, suponer el caso más desfavorable: p=q=0.5

Value

Devuelve el tamaño de la muesta en un objeto de tipo data.frame.

Note

En el caso del tamaño muestral para la media: si la varianza poblacional no es conocida puede estimarse con la varianza muestral (o cuasivarianza muestral). En el caso del tamaño muestral para la proporción: si la proporción poblacional no es conocida, puede estimarse por la proporción muestral o considerar el caso más desfavorable (p=q=0.5)

Author(s)

Vicente Coll-Serrano. Métodos Cuantitativos para la Medición de la Cultura (MC2). Economía Aplicada.

Rosario Martínez Verdú. Economía Aplicada.

Cristina Pardo-García. Métodos Cuantitativos para la Medición de la Cultura (MC2). Economía Aplicada.

Facultad de Economía. Universidad de Valencia (España)

References

Casas José M. (1997) Inferencia estadística. Editoral: Centro de estudios Ramón Areces, S.A. ISBN: 848004263-X

Esteban García, J. et al. (2008). Curso básico de inferencia estadística. ReproExprés, SL. ISBN: 8493036595.

Murgui, J.S. y otros. (2002). Ejercicios de estadística Economía y Ciencias sociales. tirant lo blanch. ISBN: 9788484424673

Newbold, P, Carlson, W. y Thorne, B. (2019). Statistics for Business and Economics, Global Edition. Pearson. ISBN: 9781292315034


Nivel de confianza.

Description

Esta función simula una población de tamaño 100,000 de la que se extraen diversas muestras y construye los correspondientes intervalos de confianzas. El objetivo es transmitir el concepto de nivel de confianza.

Usage

nivel.confianza(
  min.pob = 2000,
  max.pob = 45000,
  muestras = 200,
  n = 100,
  confianza = 0.95,
  grafico = TRUE,
  exportar = FALSE,
  replicar = FALSE
)

Arguments

min.pob

Es un valor numérico que indica el valor mínimo poblacional. Por defecto min.pob = 2000

max.pob

Es un valor numérico que indica el valor máximo poblacional. Por defecto max.pob = 45000

muestras

Es un valor numérico entre 50 y 10000 que indica el número de muestras que se extraen sin reemplazamiento de la población. Por defecto muestras = 200

n

Es un valor numérico entre 25 y 2000 que indica el tamaño de la muestra. Por defecto n = 100

confianza

Es un valor numérico entre 0 y 1. Indica el nivel de confianza. Por defecto, confianza = 0.95 (95 por ciento)

grafico

Si grafico = TRUE se representan los intervalos de confianza de las muestras seleccionadas y la media poblacional.

exportar

Para exportar los resultados a una hoja de cálculo Excel (exportar = TRUE).

replicar

Es un valor lógico. Si replicar = TRUE el usuario fijará una semilla para que los resultados sean reproducibles. Si replicar = FALSE los resultados serán aleatorios y cambiarán en cada realización.

Value

Esta función devuelve un gráfico como un objeto de la clase list. La lista contiene los valores simulados para las muestras, el porcentaje de intervalos que contienen la media poblacional y su representación gráfica.

Note

Si se seleccionan 10000 muestras de tamaño 2000, el tiempo estimado de ejecución es de 9 minutos.

Author(s)

Vicente Coll-Serrano. Métodos Cuantitativos para la Medición de la Cultura (MC2). Economía Aplicada.

Rosario Martínez Verdú. Economía Aplicada.

Cristina Pardo-García. Métodos Cuantitativos para la Medición de la Cultura (MC2). Economía Aplicada.

Facultad de Economía. Universidad de Valencia (España)

References

Casas José M. () Inferencia estadística. Editoral: Centro de estudios Ramón Areces, S.A. ISBN: 848004263-X

Esteban García, J. et al. (2008). Curso básico de inferencia estadística. ReproExprés, SL. ISBN: 8493036595.

Murgui, J.S. y otros. (2002). Ejercicios de estadística Economía y Ciencias sociales. tirant lo blanch. ISBN: 9788484424673

Newbold, P, Carlson, W. y Thorne, B. (2019). Statistics for Business and Economics, Global Edition. Pearson. ISBN: 9781292315034

See Also

ic.media


Método de impresión para objetos de clase "resumen"

Description

Método de impresión para objetos de clase "resumen"

Usage

## S3 method for class 'resumen'
print(x, ...)

Arguments

x

Objeto de clase "resumen"

...

Argumentos adicionales


Regresión lineal simple.

Description

Calcula la regresión lineal simple.

Lee el código QR para video-tutorial sobre el uso de la función con un ejemplo.

width = 200px

width = 200px

Usage

regresion.simple(
  x,
  var_depen = NULL,
  var_indepen = NULL,
  introducir = FALSE,
  inferencia = FALSE,
  confianza = 0.95,
  grafico = FALSE,
  exportar = FALSE
)

Arguments

x

Conjunto de datos. Es un dataframe con al menos 2 variables (2 columnas).

var_depen

Es un vector (numérico o carácter) que indica la variable dependiente.

var_indepen

Es un vector (numérico o carácter) que indica la variable independiente.

introducir

Valor lógico. Si introducir = FALSE (por defecto), el usuario debe indicar el conjunto de datos que desea analizar usando los argumentos x y/o variable. Si introducir = TRUE, se le solicitará al ususario que introduzca la información relevante de las variables: vector de medias y matriz de varianzas-covarianzas.

inferencia

Si inferencia = FALSE, valor por defecto, se obtienen los resultados de la regresión simple que se estudian en un curso básico de estadística descriptiva (ver referencias de la función). Si inferencia = TRUE, se obtienen los resultas inferenciales de la regresión.

confianza

Es un valor numérico entre 0 y 1. Indica el nivel de confianza. Por defecto, confianza = 0.95 (95 por ciento)

grafico

Si grafico = TRUE, se muestran algunos de los principales resultados gráficos de la regresión lineal.

exportar

Para exportar los resultados a una hoja de cálculo Excel (exportar = TRUE).

Details

Se obtiene la recta de regresión minimocuadrática de Y (variable dependiente) en función de X (variable independiente). La recta de regresión puede expresarse como:

width = 400px

o alternativamente:

width = 600px

En las representaciones gráficas las observaciones anómals se detectan a partir del punto leverage:

width = 400px

de forma que una observación tendrá efecto de apalancamiento si:

width = 200px

donde p=2 (en el caso de la regresión simple). En general, p es igual al número de variables independientes más la constante.

Por otra parte, las observaciones atípicas se identifican a partir de los errores estandarizados (se). Estos errores se obtienen a partir de:

width = 360px

Una observación será atípica si:

width = 160px

@seealso matriz.covar, matriz.correlacion

Value

Si inferencia = FALSE, la función devuelve los principales resultados de la regresión lineal simple que se estudian en estadística descriptiva en un objeto de la clase data.frame. Si inferencia = TRUE, la función devuelve los resultados de inferenciales de la regresión. Estos contenidos son estudiados en cursos de inferencia estadística y en temas introductorios de econometría.

Author(s)

Vicente Coll-Serrano. Métodos Cuantitativos para la Medición de la Cultura (MC2). Economía Aplicada.

Rosario Martínez Verdú. Economía Aplicada.

Facultad de Economía. Universidad de Valencia (España)

References

Esteban García, J. y otros. (2005). Estadística descriptiva y nociones de probabilidad. Paraninfo. ISBN: 9788497323741

Newbold, P, Carlson, W. y Thorne, B. (2019). Statistics for Business and Economics, Global Edition. Pearson. ISBN: 9781292315034

Murgui, J.S. y otros. (2002). Ejercicios de estadística Economía y Ciencias sociales. tirant lo blanch. ISBN: 9788484424673

Examples

## Not run: 
ejemplo_regresion <- regresion.simple(
  turistas,
  var_depen = 2,
  var_indepen = 3,
  grafico = TRUE
)

## End(Not run)

Resumen descriptivos.

Description

Calcula un resumen de los principales estadísticos descriptivos.

Lee el código QR para video-tutorial sobre el uso de la función con un ejemplo.

width = 200px

Usage

resumen.descriptivos(x, variable = NULL, pesos = NULL, exportar = FALSE)

Arguments

x

Conjunto de datos. Puede ser un vector o un dataframe.

variable

Es un vector (numérico o carácter) que indica las variables a seleccionar de x. Si x se refiere una sola variable, variable = NULL. En caso contrario, es necesario indicar el nombre o posición (número de columna) de la variable.

pesos

Si los datos de la variable están resumidos en una distribución de frecuencias, debe indicarse la columna que representa los valores de la variable y la columna con las frecuencias o pesos.

exportar

Para exportar los resultados a una hoja de cálculo Excel (exportar = TRUE).

Value

Esta función devuelve los principales estadísticos descriptivos muestrales en un objeto de tipo data.frame. Los descriptivos que se obtienen son: media, mínimo, cuartil 1, mediana, cuartil 3, máximo, varianza muestral, desviación típica muestral, coeficiente de variación, recorrido inter-cuartílico, asimetría, curtosis y moda.

Author(s)

Vicente Coll-Serrano. Métodos Cuantitativos para la Medición de la Cultura (MC2). Economía Aplicada.

Rosario Martínez Verdú. Economía Aplicada.

Facultad de Economía. Universidad de Valencia (España)

References

Esteban García, J. y otros. (2005). Estadística descriptiva y nociones de probabilidad. Paraninfo. ISBN: 9788497323741

Newbold, P, Carlson, W. y Thorne, B. (2019). Statistics for Business and Economics, Global Edition. Pearson. ISBN: 9781292315034

Murgui, J.S. y otros. (2002). Ejercicios de estadística Economía y Ciencias sociales. tirant lo blanch. ISBN: 9788484424673

Examples


descriptivos <- resumen.descriptivos(startup)


Combina o resume data frames para resumen estadístico

Description

Combina o resume data frames para resumen estadístico

Usage

resumir(..., nombres = NULL, exportar = FALSE, archivo = NULL)

Arguments

...

Data frames a combinar o resumir.

nombres

Vector de nombres opcionales para los objetos.

exportar

Logical. Si TRUE, exporta a Excel.

archivo

Nombre del archivo Excel; si NULL, se genera automáticamente.

Value

Data frame combinado si las columnas coinciden, o lista resumen si son distintas.

Examples

## Not run: 
Ejemplo caso 1: resumir varios data frames con las mismas columnas
media <- estadistica::media(mtcars)
cuantiles <- estadistica::cuantiles(mtcars)

resultados <- resumir(media, cuantiles, exportar=TRUE)
resultados

Ejemplo caso 2: resumir varios data frames con distintas columnas
forma <- estadistica::medidas.forma(mtcars[c(1, 3, 4)])
resultados <- resumir(media, cuantiles, forma, exportar=TRUE)
resultados

## End(Not run)

Data: Encuesta cuatrienal de estructura salarial (2018)

Description

Datos del Instituto Nacional de Estadística. Los microdatos originales constan de 216,726 observaciones. A efectos de practicar, se han seleccionado aleatoriamente 1000 observaciones y 7 variables de interés.

Usage

data("salarios2018")

Format

Dataframe con 1000 observaciones 7 7 variables.

SEXO

Sexo (1=hombre, 6=mujer)

ESTUDIOS

Nivel de estudios. 1=Menos que primaria,2=Primaria,3=Primera etapa secundaria,4=Segunda etapa secundaria,5=FP superior o similar,6=Diplomado o similar,7=Licenciados o similares y doctores

TIPO.JORNADA

Tipo de jornada laboral. 1=Tiempo completo,2=Tiempo parcial

TIPO.CONTRATO

Tipo de contrato laboral. 1=Indefinido,2=Duración determinada

SALARIO.BRUTO.ANUAL

Salario bruto anual

SALARIO.ORDINARIO.ANUAL

Salario ordinario anual

FACTOR.ELEVACION

Factor de elevación

Author(s)

Vicente Coll-Serrano. Quantitative Methods for Measuring Culture (MC2). Applied Economics.

Rosario Martínez Verdú. Economía Aplicada.

Facultad de Economía. Universidad de Valencia (España)

Source

Instituto Nacional de Estadística https://www.ine.es/


Series temporales.

Description

Esta función utiliza el método de las medias móviles (centradas) para extraer la tendencia de una serie temporal. A partir de las medias móviles, también se obtienen los índices de variación estacional (IVE).

Lee el código QR para video-tutorial sobre el uso de la función con un ejemplo.

width = 200px

Usage

series.temporales(
  x,
  variable = NULL,
  inicio_anual = 1,
  periodo_inicio = 1,
  frecuencia = 4,
  orden = frecuencia,
  prediccion_tendencia = FALSE,
  grafico = FALSE,
  exportar = FALSE
)

Arguments

x

Conjunto de datos. Puede ser un vector o un dataframe.

variable

Es un vector (numérico o carácter) que indica las variables a seleccionar de x. Si x se refiere una sola variable, el argumento variable es NULL. En caso contrario, es necesario indicar el nombre o posición (número de columna) de la variable.

inicio_anual

Año de inicio de la serie. Por defecto inicio_anual = 1.

periodo_inicio

Periodo de inicio de la serie. Por defecto perido_inicio = 1, es decir, el primer periodo del año 1.

frecuencia

Periodificación de la serie. Por defecto frecuencia = 4. Si anual, frecuencia = 1. Si semestral, frecuencia = 2. Si cuatrimestral, frecuencia = 3. Si trimestral, frecuencia = 4. Si bimestral, frecuencia = 6. Si mensual, frecuencia = 12. Si semanal, frecuencia = 52. Si diario, frecuencia = 360.

orden

Orden (o puntos) de cálculo de la media móvil. Por defecto orden = frecuencia.

prediccion_tendencia

vector de periodo temporal (t=0, origen de la serie) para el que se quiere obtener una predicción de la tendencia de la serie objeto de estudio.

grafico

Es un valor lógico. Por defecto grafico = FALSE. Si se quiere obtener una representación gráfica la serie original, las medias móviles y la estimación por regresión de la tendencia, cambiar a grafico = TRUE.

exportar

Para exportar los principales resultados a una hoja de cálculo Excel (exportar = TRUE).

Value

Esta función devuelve un objeto de la clase list.

Author(s)

Vicente Coll-Serrano. Métodos Cuantitativos para la Medición de la Cultura (MC2). Economía Aplicada.

Rosario Martínez Verdú. Economía Aplicada.

Facultad de Economía. Universidad de Valencia (España)

References

Esteban García, J. y otros. (2005). Estadística descriptiva y nociones de probabilidad. Paraninfo. ISBN: 9788497323741

Newbold, P, Carlson, W. y Thorne, B. (2019). Statistics for Business and Economics, Global Edition. Pearson. ISBN: 9781292315034

Murgui, J.S. y otros. (2002). Ejercicios de estadística Economía y Ciencias sociales. tirant lo blanch. ISBN: 9788484424673

See Also

regresion.simple

Examples

## Not run: 
ejemplo_serie <- series.temporales(
  turistas2,
  variable = 2,
  inicio_anual = 2000,
  periodo_inicio = 1
)

## End(Not run)

Data: Datos de empresas emergentes (startups)

Description

Datos simulados. Muestra de 21 empresas emergentes

Usage

data("startup")

Format

Dataframe con 21 observaciones de 4 variables.

gasto.desarrollo

Gastos de investigación y desarrollo, en euros.

gasto.marketing

Gastos de marketing, en euros.

gasto.gestion

Gastos de administración, en euros.

beneficio

Beneficios, en euros.

Author(s)

Vicente Coll-Serrano. Quantitative Methods for Measuring Culture (MC2). Applied Economics.

Rosario Martínez Verdú. Economía Aplicada.

Cristina Pardo-García. Métodos Cuantitativos para la Medición de la Cultura (MC2). Economía Aplicada.

Facultad de Economía. Universidad de Valencia (España)

Source

Muestra simulada.


Tabla doble entrada.

Description

Calcula la tabla de frecuencias bidimensionales.

Lee el código QR para video-tutorial sobre el uso de la función con un ejemplo.

width = 200px

Usage

tabla.bidimensional(
  x,
  var_filas = NULL,
  var_columnas = NULL,
  distribucion = c("cruzada", "condicionada"),
  frecuencias = c("absolutas", "relativas"),
  exportar = FALSE
)

Arguments

x

Conjunto de datos. Tiene que ser un dataframe (al menos dos variables, es decir, dos columnas).

var_filas

Variable fila.Por defecto su valor es NUll y el usuario debe escribir el nombre o posición de la variable cuyos valores quiere representar por filas.

var_columnas

Variable columna. Por defecto su valor es NUll y el usuario debe escribir el nombre o posición de la variable cuyos valores quiere representar por columnas

distribucion

Es un carácter. Por defecto se obtien la tabla cruzada (distribucion = "cruzada"). Para obtener las distribuciones condicionadas cambiar a distribucion = "condicionada".

frecuencias

Es un carácter. Por defecto se obtienen las frecuencias absolutas ordinarias (frecuencias = "absolutas"). Para obtener las frecuencias relativas ordinarias cambiar a frecuencias = "relativas".

exportar

Para exportar los resultados a una hoja de cálculo Excel (exportar = TRUE).

Value

Devuelve la tabla cruzada de las dos variables seleccionadas en un data.frame

Author(s)

Vicente Coll-Serrano. Métodos Cuantitativos para la Medición de la Cultura (MC2). Economía Aplicada.

Rosario Martínez Verdú. Economía Aplicada.

Facultad de Economía. Universidad de Valencia (España)

References

Esteban García, J. y otros. (2005). Estadística descriptiva y nociones de probabilidad. Paraninfo. ISBN: 9788497323741

Newbold, P, Carlson, W. y Thorne, B. (2019). Statistics for Business and Economics, Global Edition. Pearson. ISBN: 9781292315034

Murgui, J.S. y otros. (2002). Ejercicios de estadística Economía y Ciencias sociales. tirant lo blanch. ISBN: 9788484424673


Tabla de frecuencias.

Description

Esta función presenta la distribución de frecuencias de una variable cuantitativa o cualitativa.

Lee el código QR para video-tutorial sobre el uso de la función con un ejemplo.

width = 200px

Usage

tabla.frecuencias(x, eliminar.na = TRUE, grafico = FALSE, exportar = FALSE)

Arguments

x

Conjunto de datos. Puede ser un vector (numérico o factor) o un dataframe. Si el dataframe tiene más de una variable, solicitará al usuario que idenfique el nombre de la variable para la que se quiere calcular la tabla de frecuencias.

eliminar.na

Valor lógico. Por defecto eliminar.na = TRUE. Si se quiere obtener la tabla de frecuencias con NAs, cambiar el argumento a eliminar.na = FALSE.

grafico

Si grafico = TRUE, representa el histograma o el gráfico de barras de la variable seleccionada.

exportar

Para exportar los resultados a una hoja de cálculo Excel (exportar = TRUE).

Value

Devuelve la tabla de frecuencias como una tibble. Si grafico = TRUE, se devuelve en una lista la tabla de frecuencias y su representación gráfica.

Author(s)

Vicente Coll-Serrano. Métodos Cuantitativos para la Medición de la Cultura (MC2). Economía Aplicada.

Rosario Martínez Verdú. Economía Aplicada.

Facultad de Economía. Universidad de Valencia (España)

References

Esteban García, J. y otros. (2005). Estadística descriptiva y nociones de probabilidad. Paraninfo. ISBN: 9788497323741

Newbold, P, Carlson, W. y Thorne, B. (2019). Statistics for Business and Economics, Global Edition. Pearson. ISBN: 9781292315034

Murgui, J.S. y otros. (2002). Ejercicios de estadística Economía y Ciencias sociales. tirant lo blanch. ISBN: 9788484424673


Data: Turistas por paises (WTO)

Description

Datos de World Tourism Organization.

Usage

data("turistas")

Format

Dataframe con 130 observaciones de 3 variables.

País

País de destino.

Llegadas.turistas

Número de llegada de turistas en 2017, en miles.

Gasto.viajes

Gasto en viajes en 2017, en millones de USD.

Source

World Tourism Organization (2019).


Data: Turistas internacionales Comunidad Valenciana

Description

Data: Turistas internacionales Comunidad Valenciana

Usage

data("turistas")

Format

Dataframe con 80 observaciones de 2 variables.

perido

Periodo temporal.

Turistas.internacionales

Número de turistas con destino principal la Comunidad Valenciana

Source

Movimientos turísticos en fronteras. Frontur. Instituto de Estudios Turísticos (hasta septiembre de 2015) e INE (a partir de octubre de 2015)


Unir vectores.

Description

Une dos o más vectores numéricos de igual o distinta longitud.

width = 200px

Usage

unir.vectores(...)

Arguments

...

Introducir los nombres de los objetos, vectores, que se quiere unir. Si los vectores tienen distinta longitud se rellenarán los espacios con NAs.

Value

La función devuelve un dataframe.

Author(s)

Vicente Coll-Serrano. Métodos Cuantitativos para la Medición de la Cultura (MC2). Economía Aplicada.

Rosario Martínez Verdú. Economía Aplicada.

Facultad de Economía. Universidad de Valencia (España)


Varianza.

Description

Calcula la varianza.

Lee el código QR para video-tutorial sobre el uso de la función con un ejemplo.

width = 200px

Usage

varianza(x, variable = NULL, pesos = NULL, tipo = c("muestral", "cuasi"))

Arguments

x

Conjunto de datos. Puede ser un vector o un dataframe.

variable

Es un vector (numérico o carácter) que indica las variables a seleccionar de x. Si x se refiere una sola variable, el argumento variable es NULL. En caso contrario, es necesario indicar el nombre o posición (número de columna) de la variable.

pesos

Si los datos de la variable están resumidos en una distribución de frecuencias, debe indicarse la columna que representa los valores de la variable y la columna con las frecuencias o pesos.

tipo

Es un carácter. Por defecto de calcula la varianza muestral (tipo = "muestral"). Si tipo = "cuasi", se calcula la cuasivarianza muestral.

Details

(1) La expresión de la varianza muestral es:

width = 320px

La varianza muestral así definida es el estimador máximo verosímil de la varianza de una población normal

(2) Muchos manuales y prácticamente todos los softwares (SPSS, Excel, etc.) calculan la expresión:

width = 320px

Nosotros llamamos a esta medida: cuasi-varianza muestral y es un estimador insesgado de la varianza poblacional.

Value

Esta función devuelve un objeto de la clase vector. Si tipo="muestral", devuelve la varianza muestral. Si tipo="cuasi", devuelve la cuasi-varianza muestral.

Note

Si en lugar del tamaño muestral (n) se utiliza el tamaño de la población (N) se obtiene la varianza poblacional:

width = 320px

Author(s)

Vicente Coll-Serrano. Métodos Cuantitativos para la Medición de la Cultura (MC2). Economía Aplicada.

Rosario Martínez Verdú. Economía Aplicada.

Cristina Pardo-García. Métodos Cuantitativos para la Medición de la Cultura (MC2). Economía Aplicada.

Facultad de Economía. Universidad de Valencia (España)

References

Esteban García, J. y otros. (2005). Estadística descriptiva y nociones de probabilidad. Paraninfo. ISBN: 9788497323741

Newbold, P, Carlson, W. y Thorne, B. (2019). Statistics for Business and Economics, Global Edition. Pearson. ISBN: 9781292315034

Murgui, J.S. y otros. (2002). Ejercicios de estadística Economía y Ciencias sociales. tirant lo blanch. ISBN: 9788484424673

See Also

media, desviacion, coeficiente.variacion

Examples


varianza1 <- varianza(startup[1])
varianza2 <- varianza(startup,variable=1)
varianza3 <- varianza(startup,variable=1, tipo="cuasi")


Data: Viajes vendidos

Description

Datos de 5 observaciones que se utilizan en los ejemplos de (1) media, mediana y moda, (2) cuantiles, (3) varianza, desviación típica y coeficiente de variación, (4) medidas de forma y momento central y (5) resumen de descriptivos

Usage

data("viajes_vendidos")

Format

Dataframe con 5 observaciones de 3 variables.

Número.de.viajes.vendidos

Número de viajes perdidos.

Empleados

Número de empleados

Ni

Frecuencia absoluta acumulada del número de empleados