
The objective of ggwidth is to standardise ‘ggplot2’ geom width.
It provides methods to ensure the width in ggplot2 geoms are visually consistent across plots with different numbers of categories, panel dimensions, and orientations.
It works with geoms such as
geom_bar/geom_col, geom_boxplot
and geom_errorbar.
Note this function requires:
"x" orientation plots to have a x discrete scale with
default expand"y" orientation plots to have a y discrete scale with
default expand.Install from CRAN, or development version from GitHub.
install.packages("ggwidth")
pak::pak("davidhodge931/ggwidth")library(ggplot2)
library(dplyr)
library(ggwidth)
library(patchwork)
set_theme(
theme_grey() +
theme(panel.widths = rep(unit(75, "mm"), 2)) +
theme(panel.heights = rep(unit(50, "mm"), 2))
)
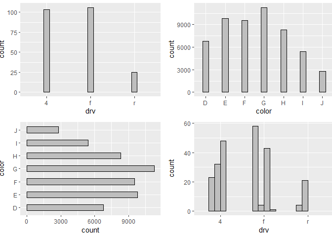
set_equiwidth(1)p1 <- mpg |>
ggplot(aes(x = drv)) +
geom_bar(
width = get_width(n = 3),
colour = "black",
fill = "grey",
)
p2 <- diamonds |>
ggplot(aes(x = color)) +
geom_bar(
width = get_width(n = 7),
colour = "black",
fill = "grey",
)
p3 <- diamonds |>
ggplot(aes(y = color)) +
geom_bar(
width = get_width(n = 7, orientation = "y"),
colour = "black",
fill = "grey",
)
p4 <- mpg |>
ggplot(aes(x = drv, group = factor(cyl))) +
geom_bar(
position = position_dodge(preserve = "single"),
width = get_width(n = 3, n_dodge = 4),
colour = "black",
fill = "grey",
)
p1 + p2 + p3 + p4
d <- tibble::tibble(
continent = c("Europe", "Europe", "Europe", "Europe", "Europe",
"South America", "South America"),
country = c("AT", "DE", "DK", "ES", "PK", "TW", "BR"),
value = c(10L, 15L, 20L, 25L, 17L, 13L, 5L)
)
max_n <- d |>
count(continent) |>
pull(n) |>
max()
d |>
mutate(country = forcats::fct_rev(country)) |>
ggplot(aes(y = country, x = value)) +
geom_col(
width = get_width(n = max_n, orientation = "y"),
colour = "black",
fill = "grey",
) +
facet_wrap(~continent, scales = "free_y") +
scale_y_discrete(continuous.limits = c(1, max_n)) +
coord_cartesian(reverse = "y", clip = "off")
mpg |>
ggplot(aes(x = drv)) +
geom_bar(
width = get_width(n = 3, panel_widths = unit(160, "mm")),
colour = "black",
fill = "grey",
) +
theme(panel.widths = unit(160, "mm"))